科研人员在理想一维外尔相中观测到巨大的能斯特平台
				
				文章导读
				
			
			热电转换效率的瓶颈如何突破?中国科学家在强磁场下取得颠覆性进展!他们首次在弱拓扑绝缘体中构建理想一维外尔半金属相,观测到幅值达50μV/K的巨大能斯特平台,远超以往所有报道。这一突破源于全新热电转换机制——横向热电效应由纵向电阻主导,而非传统横向电阻。研究成果发表于《物理评论快报》,为热电转换效率提升开辟全新路径。
— 内容由好学术AI分析文章内容生成,仅供参考。
				近日,中国科学院合肥物质科学研究院强磁场科学中心联合中国科学技术大学、南方科技大学,依托稳态强磁场实验装置所属水冷磁体WM5,利用强磁场,在弱拓扑绝缘体中构建出理想一维外尔半金属相,并观测到该相特有热电转换机制导致的巨大能斯特平台。
反常能斯特效应是典型的横向热电效应,其能斯特信号可在磁场下形成平台。理论研究表明,源于自旋轨道耦合布洛赫电子能带的大贝里曲率,能够产生显著的反常能斯特效应。基于这一机制,科研人员在三维磁性外尔半金属中观测到显著的能斯特平台。但是,能斯特平台的幅度仍比纵向热电效应弱多个数量级。因此,探讨能够提升能斯特平台幅度的新型热电转换机制具有重要意义。
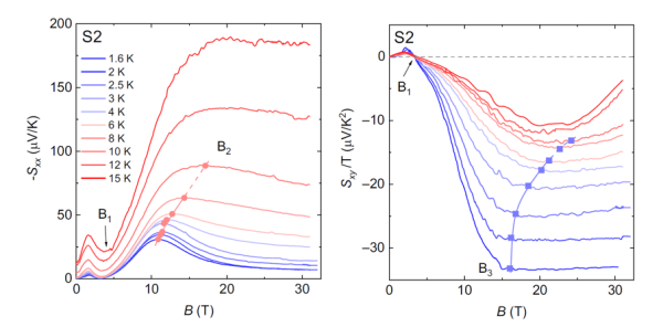
研究团队在强磁场条件下发现了新的热电转换机制。通过对弱拓扑绝缘体五碲化铪(HfTe5)在0–33 T强磁场下的塞贝克效应和能斯特效应进行系统测量,团队观测到两个磁场诱导的相变。在B1 = 1.45 T处,能斯特信号发生符号反转,标志着第零朗道能级发生能隙闭合转变;随着磁场增强,塞贝克系数在B2 = 11 T处出现峰值,表明第零朗道能级发生拓扑Lifshitz转变。这两次相变过程与弱拓扑绝缘体在强磁场下的理论相图吻合。当磁场进一步增大至B3 = 20 T以上时,HfTe5进入由第零朗道能级构成的理想一维外尔半金属相。在该相中,能斯特信号表现出与磁场无关的特性,形成稳定的巨大能斯特平台,其幅值在2 K低温下达50 μV/K,远超以往报道的所有反常能斯特效应数值。同时,理论分析发现,该巨大能斯特平台源于理想一维外尔相特有的热电转换机制——横向热电效应由纵向电阻主导,而非传统机制中的横向电阻。
这一发现拓展了科研人员对外尔费米子的认知,为提升热电转换效率开辟了新路径。
相关研究成果发表在《物理评论快报》(Physical Review Letters)上。研究工作得到国家重点研发计划和国家自然科学基金等的支持。

弱拓扑绝缘体HfTe5强磁场下塞贝克效应和能斯特效应的测量结果

理想一维外尔态中的巨大能斯特平台
© 版权声明
本文由分享者转载或发布,内容仅供学习和交流,版权归原文作者所有。如有侵权,请留言联系更正或删除。
相关文章
暂无评论...
















 
                 
                 
                 
                
