新科研人员研发出新型嘌呤类PGK1抑制剂
近日,中国科学院合肥物质科学研究院健康与医学技术研究所刘青松团队,研发出新型嘌呤类磷酸甘油酸激酶1(PGK1)抑制剂。这一化合物在炎症性肠病模型中表现出良好的治疗效果。 炎症性肠病是慢性、复发性肠道炎...
            
            
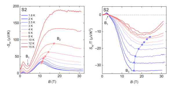
            新科研人员在理想一维外尔相中观测到巨大的能斯特平台
近日,中国科学院合肥物质科学研究院强磁场科学中心联合中国科学技术大学、南方科技大学,依托稳态强磁场实验装置所属水冷磁体WM5,利用强磁场,在弱拓扑绝缘体中构建出理想一维外尔半金属相,并观测到该相特有热...
            
            
            研究发现WWOX基因胚系失活突变促进甲状腺癌发生发展新机制
近日,中国科学院合肥物质科学研究院健康与医学技术研究所/合肥肿瘤医院,联合中国科学技术大学附属第一医院,发现WWOX基因胚系失活突变促进甲状腺癌发生发展。该研究提供了功能机制证据,在机制上连通了WWO...
            
            
            反式钙钛矿太阳电池传输层优化研究获进展
近期,中国科学院合肥物质科学研究院固体物理研究所研究员潘旭团队,在反式钙钛矿太阳电池传输层优化方面取得进展,实现了太阳电池器件效率与稳定性的双重突破。 此前,团队通过均质化钙钛矿吸收层中的阳离子分布...
            
            
            研究开发出新型上转换纳米粒子
近期,中国科学院合肥物质科学研究院固体物理研究所蒋长龙团队,在上转换纳米粒子的结构精准调控方面取得进展,实现了高发光共振能量转移效率与高上转换发光强度的双重突破,为开发超灵敏传感平台提供了新方法。 荧...
            
            
            抗肿瘤药物甲氨蝶呤血药浓度快速监测研究获进展
近日,中国科学院合肥物质科学研究院健康与医学技术研究所/合肥肿瘤医院王宏志团队,在抗肿瘤药物甲氨蝶呤血药浓度快速监测研究方面取得进展。该研究构建出通过适配体分子桥连等离子体纳米颗粒的双功能传感器芯片P...
            
            
            全超导磁体实现35.1特斯拉稳态磁场
近日,由中国科学院合肥物质科学研究院等离子体物理研究所牵头,联合合肥国际应用超导中心、合肥综合性国家科学中心能源研究院、清华大学共同研制的全超导磁体,成功产生35.10万高斯的稳态强磁场。 全超导磁体...
            
            
            研究证实镍氧化物的高温超导特性
近期,中国科学院合肥物质科学研究院固体物理研究所刘晓迪团队,联合吉林大学黄晓丽团队、中山大学王猛团队,利用金刚石氮-空位(NV)色心以及电输运手段,在高压下的镧镍氧(La3Ni2O7−𝛿)单晶材料中同...
            
            
            研究利用光热空气集水实现高效自驱动生产绿氢
近期,中国科学院合肥物质科学研究院固体物理研究所研究员尹华杰团队,在光热空气集水自驱动生产绿色氢能研究方面取得进展。 质子交换膜电解水技术是生产绿氢的主要技术路线之一,因高效率和高纯度氢气输出而备受关...
            
            
            电催化共还原硝酸根和二氧化碳合成尿素研究取得进展
近期,中国科学院合肥科学物质研究院固体物理研究所在常温常压电催化尿素合成领域取得进展,团队以三聚氰胺热解的二维g-C3N4为载体,构筑了N配位结构的铜单原子催化剂(Cu-N3 SAs),实现了高效的电...
            
            
             
                 
                 
                 
                 
                 
                 
                 
                 
                