文章导读
				
			
			你喝的柚子汁为何越放越浑浊?上海交大敬璞教授团队最新研究揭秘:果胶竟是稳定果汁“云雾”的关键!论文发表于《Food Chemistry》,通过酶解实验发现,果胶一旦被破坏,果汁黏度骤降、颗粒聚集沉淀,浑浊度大幅下降。研究首次揭示果胶网络结构对云状颗粒的支撑作用及其与pH的正相关性,为解决柑橘汁加工储藏中的稳定性难题提供了全新理论依据。这一发现或将重塑果汁行业质控标准。
— 内容由好学术AI分析文章内容生成,仅供参考。
				近期,上海交通大学农业与生物学院敬璞教授团队在食品领域顶级期刊Food Chemistry上发表论文“Pectin-Dominated Colloidal Instability in Cloudy Pomelo Juice: Morphological and Rheological Properties after Enzymatic Digestion”。

柑橘汁是人们最为喜爱且消费量最大的饮品之一,这得益于其令人愉悦的口感、高营养价值以及多种生物活性成分。近期研究显示,这些生物活性成分之间的协同作用有助于它们对慢性疾病的防护作用。然而,柑橘汁在加工和储存过程中出现的混浊度下降这一质量问题极大地影响了消费者的接受度,降低了市场竞争力,并对果汁生产商及相关下游产业的经济可行性产生了负面影响。例如,以独特的风味和有益的健康特性而闻名的柚子汁经常会出现混浊度下降的问题,这严重阻碍了其市场推广。
混浊型果汁是由复杂的体系构成的,其中包含分散在清液中的微粒及一些大分子(果胶和蛋白质)物质所组成的。这些大分子物质的特性对浊汁的体系稳定性具有重要影响。然而,果汁中内源性成分(如果胶和蛋白质)与其沉淀稳定性之间的内在关系尚未得到明确阐明。基于此,本研究通过使用果胶酶复合物、果胶甲酯酶、果胶裂解酶和木瓜蛋白酶处理柚子浊汁,探究了果胶/蛋白质与柚子汁浑浊稳定性之间的关系。研究结果如下:
(1)果胶酶处理后,果汁的稳定性降低了 75% – 80%,黏度降低了 38% – 48%,果胶含量降低了 26% – 56%;
(2)果胶酶诱导了球形颗粒的聚集,表明云状颗粒的结构被破坏。对照组和 Pap 处理的样品呈现出分支纤维形态,附有球形颗粒,表明 Pap 对颗粒结构没有显著影响(图1);
(3)果胶在果汁体系中形成了支撑云状颗粒的网络结构,并可能阻碍蛋白酶的进入。此外,果胶酶处理导致云状颗粒果胶外层及网络结构破坏,引起颗粒聚集沉淀,导致体系稳定性丧失(图2);
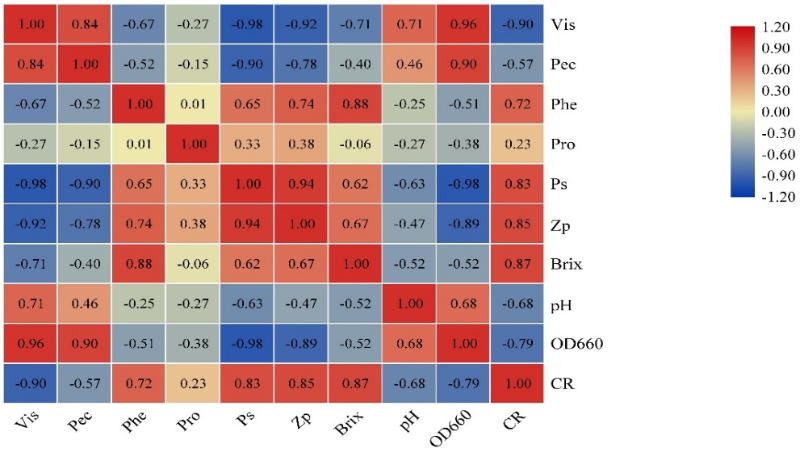
(4)浊汁体系稳定性与果胶含量和体系pH正相关(图3)。

图1 木瓜蛋白酶和果胶酶对柚子汁形貌及云状颗粒微观结构的影响

图2 果胶酶对柚子汁稳定性的可能影响机制

图3 酶处理对柚子汁稳定性相关指标的关联性分析
论文揭示了浑浊型柚子汁体系稳定性丧失与内源性组分特性的内在联系,研究结果为柑橘类果汁生产中的质量控制技术的开发提供了理论指导。该研究得到了广东省重点研发项目、四川“天府峨眉”计划等项目资助。
论文链接:https://doi.org/10.1016/j.foodchem.2025.146667
作者: 农业与生物学院 供稿单位: 农业与生物学院
© 版权声明
本文由分享者转载或发布,内容仅供学习和交流,版权归原文作者所有。如有侵权,请留言联系更正或删除。
相关文章
暂无评论...
















 
                
 
                 
                 
                

