文章导读
				
			
			你是否知道,厨房里的珍贵香料竟能对抗抑郁症?上海交大敬璞教授团队最新研究发现,藏红花可显著改善慢性应激小鼠的抑郁样行为。研究揭示,藏红花不仅能减轻海马体损伤,还能抑制小胶质细胞激活,降低神经炎症,并通过CREB/BDNF/TrkB通路恢复神经可塑性。这一成果为藏红花作为天然抗抑郁功能配料的开发提供了关键理论支持,或将为抑郁症的膳食干预开辟新路径。
— 内容由好学术AI分析文章内容生成,仅供参考。
				近日,上海交通大学农业与生物学院敬璞教授团队在Molecular Nutrition & Food Research发表文章“Antidepressant-like effect of saffron (Crocus sativus L.) in mice exposed to chronic unpredictable mild stress via attenuating neuroinflammation and recovering neuroplasticity”。

抑郁症是一种以持续的情绪低落、兴趣减退、快感缺失、睡眠障碍、言语和行为迟缓、以及悲观和自杀倾向为主要特征的精神疾病。根据世界卫生组织的调查,全球约有3.5亿人受到不同程度抑郁症的影响,严重降低了人们的生活质量。藏红花(Crocus sativus L.)不仅是一种珍贵的着色剂和香料,更因其多种药理活性被广泛应用于传统医学,特别是在治疗抑郁症方面展现了巨大的潜力。

图1. SE缓解CUMS暴露小鼠的抑郁样行为

图2. SE缓解CUMS暴露小鼠的海马体损伤
通过为期8周的慢性不可预测性应激(CUMS)模型,小鼠表现出典型的抑郁样行为,包括糖水偏好降低、强迫游泳实验和悬尾实验中的不动时间减少,以及自发活动能力下降。藏红花干预显著改善了上述抑郁样行为,并减轻了海马体的病理损伤(图1、2)。

图3. SE抑制小胶质细胞的激活,缓解神经炎症


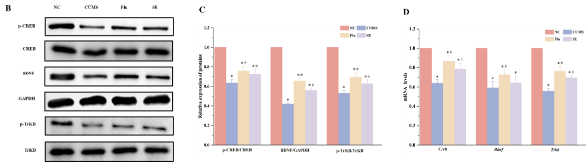
图4. SE改善神经发生和神经可塑性
机制研究表明,藏红花提取物能够抑制CUMS诱导的小胶质细胞激活,从而抑制NF-κB信号通路,降低炎症因子水平(图3)。此外,藏红花干预还缓解了神经炎症对神经发生的损害,并通过激活CREB/BDNF/TrkB通路部分恢复了神经可塑性(图4)。
综上所述,本研究表明,藏红花通过调节神经炎症与神经可塑性,可有效缓解慢性应激引起的抑郁样行为,为其作为具有抗抑郁功能的天然着色配料的开发提供了理论依据。

论文链接:https://doi.org/10.1002/mnfr.202400848
作者: 农业与生物学院 供稿单位: 农业与生物学院
© 版权声明
本文由分享者转载或发布,内容仅供学习和交流,版权归原文作者所有。如有侵权,请留言联系更正或删除。
相关文章
暂无评论...
















 
                 
                
 
                 
                
