研究发现三层镍酸盐近各向同性的上临界磁场
文章导读
你可能从未想过,一块在高压下才能存活的镍酸盐晶体,竟能颠覆对超导材料的传统认知。大多数人以为层状超导体必然各向异性,磁场方向一变,性能就大打折扣,但实测数据显示,三层镍酸盐La4Ni3O10-δ的上临界磁场在全温区几乎不随角度改变。我们通过一套能在35 T强磁场与50 GPa高压下原位旋转样品的新系统,发现其双轨道能带的各向异性竟然相互抵消。这种反直觉的补偿机制,让材料表现出罕见的稳定抗磁性。
— 内容由好学术AI分析文章内容生成,仅供参考。
近日,中国科学院合肥物质科学研究院等,依托稳态强磁场实验装置水冷磁体WM5,结合强磁场与高压等极端条件,绘制了加压三层镍酸盐La4Ni3O10-δ单晶上临界磁场的全温区相图,揭示其近各向同性的上临界磁场,为理解镍酸盐高温超导配对机制提供实验依据。
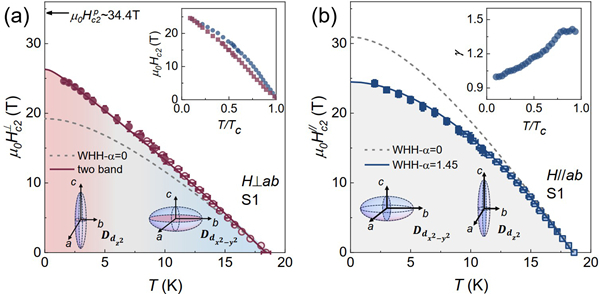
自双层RP镍酸盐La3Ni2O7-δ在高压下被发现具有近80 K的超导温度以来,三层同体系La4Ni3O10-δ单晶在压力下也被证实存在体超导性。上临界磁场作为超导体的基本参数之一,对理解超导配对机制至关重要。然而,要完整测量RP镍酸盐的上临界磁场并表征其各向异性,在技术上具有挑战性。此外,由于水冷磁体的内部空间有限,传统技术无法实现高压腔在强磁场中的原位旋转,而这恰恰是测量上临界场各向异性的关键所在。
该研究设计了一套原位转角电输运测试系统,能够在50 GPa高压与35 T强磁场相结合的综合极端条件下,实现样品的高精度原位旋转。利用这一技术,团队测量了三层RP镍酸盐La4Ni3O10-δ在不同磁场方向上的上临界磁场。研究发现,材料的上临界磁场在全温度范围内均表现出显著的近各向同性特征,且这一特性与传统层状超导材料的各向异性行为形成对比。双带模型分析显示,超导特性源于两个轨道能带的贡献——二者的扩散率各向异性相反、相互补偿,呈现出近各向同性。
这一研究为理解多轨道参与的超导配对机制提供了实验依据,为探究镍酸盐高温超导的微观本质提供了新方向。同时,研究建立了在强磁场-高压-低温下开展角度依赖输运测试的实验能力,为在极端压力与强磁场联合作用下探索量子材料提供了重要手段。
相关研究成果发表在Physical Review X上。研究工作得到国家重点研发计划、国家自然科学基金、中国科学院相关项目等的支持。

三层镍酸盐La4Ni3O10-δ强磁场下两个方向的超导上临界场相图

转角杆实物图及DAC压力包示意图
© 版权声明
本文由分享者转载或发布,内容仅供学习和交流,版权归原文作者所有。如有侵权,请留言联系更正或删除。















降温后还能保持这特性吗?
双带模型具体怎么验证的?
各向同性这结论挺有意思的
卧槽看不懂但感觉很厉害🤔