文章导读
面对弱聚电解质复杂的电离行为,你是否还在依赖经典的Donnan近似进行估算?当体系进入强带电状态或双电层重叠时,传统模型往往因简化电势分布而失效,导致对凝胶流变和生物大分子功能的预测出现严重偏差。北京大学陈光课题组最新构建的单胞模型,竟能无需截断假设就精准刻画从弱电到强电的连续转变,并揭示了一个被长期忽略的几何曲率效应。这个新推导出的“临界电荷分数”参数,究竟如何颠覆了Manning理论的认知边界,让实验数据与理论预测实现完美重合?
— 内容由好学术AI分析文章内容生成,仅供参考。
近日,北京大学先进制造与机器人学院陈光课题组在高分子领域权威期刊《大分子》(Macromolecules)上发表研究论文,题为“Ionization of Semidilute Weak Polyelectrolytes in Equilibrium with a Reservoir”。该工作构建了一种能够普适刻画带电单体间静电相互作用的单胞模型,系统阐释了亚浓弱聚电解质与本体溶液平衡条件下的解离行为,这一发现为带电高分子体系的宏观流变与力学行为调控提供了重要的理论基石。
弱聚电解质是一类带有可解离基团的带电聚合物,其解离度受到自身浓度、周围溶液的pH值及离子强度的共同调控。这种“电荷调控”特性广泛存在于聚电解质刷、凝胶、胶体颗粒和生物大分子等体系中。长期以来,如何定量描述环境因素对弱聚电解质电离行为的影响,是揭示带电软物质微观构象、宏观流变特性、自组装行为与功能调控的关键。
在该研究中,团队创新性地将聚电解质单体分别建模为平板和圆柱两种单胞模型(图1c、d),结合非线性Poisson-Boltzmann方程与Langmuir吸附等温线公式,通过渐近分析求解得到了不同极限条件下的解析解,涵盖了从Debye-Hückel小电势假设到强电势情况,以及双电层是否交叠等复杂场景,显式刻画了单体间静电相互作用以及离子分布。

图1 亚浓弱聚电解质体系示意图。(a) 弱聚电解质溶液与本体溶液通过半透膜达到平衡;(b) 弱聚电解质凝胶浸没于无限大电解质溶液中;(c)(d) 解析带电单体间静电相互作用的单胞模型,分别采用平板几何和圆柱几何
基于该模型,研究团队进一步推导出解离度在三个不同区域的标度律(Regime I, II, III)。此外,在不同pH区间,静电作用与电离平衡分别由氢离子、盐离子或氢氧根离子主导。图2系统展示了不同盐浓度和聚合物浓度下弱聚电解质的解离度与pH值的标度关系。

图2 不同盐浓度和聚合物浓度条件下,弱聚电解质解离度随pH的变化及其标度律。其中(a)(b) 以对数坐标展示,(c)(d) 以线性坐标展示。蓝线与红线分别为平板与圆柱模型的数值解,黑线为解析解
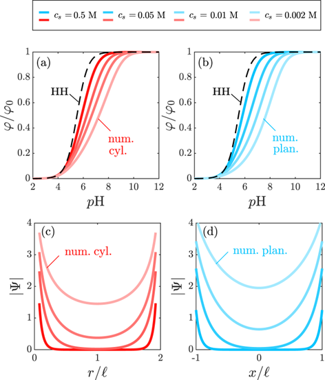
基于该理论框架,研究团队推导出一个关键参数——临界电荷分数。这一参数在形式上与Manning反离子凝聚阈值相呼应,但其物理内涵却更为深刻,源于对相邻单体间静电势空间变化的显式描述,可被视为Manning理论在有限尺寸、非均匀电势条件下的广义推广。此外,研究发现几何曲率的影响在圆柱模型中尤为突出,曲率显著增强单体附近的电场与离子富集,产生更强的电荷屏蔽效应(图3)。经典模型在此类强带电体系中往往需要人为设定电荷上限以避免发散,而本理论通过自洽的静电-电离耦合框架,无需任何截断假设,即可准确刻画从弱电到强电、从双电层重叠到非重叠的连续转变,为弱聚电解质体系提供了统一且更具预测能力的理论工具。

图3 (a)(b)不同盐浓度下,圆柱模型和平板模型的解离度随pH变化的数值解;(c)(d)两种几何模型单体间的电势分布
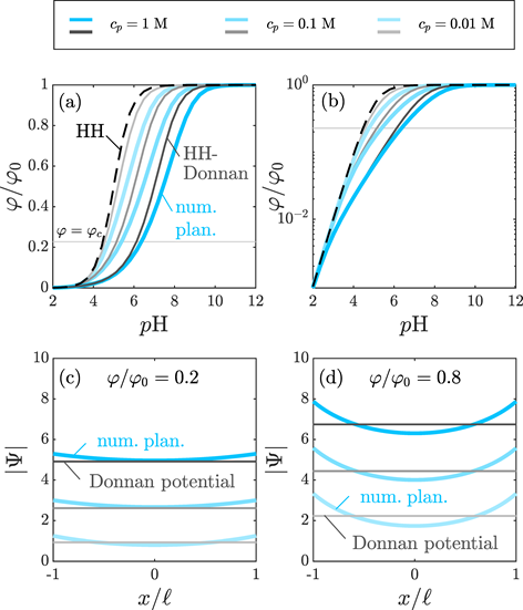
研究团队进一步将本工作提出的新理论与广泛应用的“Donnan近似”进行对比,如图4所示。结果表明,虽然新理论与Donnan近似在弱带电及小电势极限条件下的预测结果吻合,但在强带电条件下,新理论展现出明显的优势。这是由于Donnan近似将体系中的电势简化为常数,无法准确描述强带电体系中带电单体间的电势变化。这一对比不仅明确了经典Donnan近似的适用范围,也凸显了在强带电体系中显式考虑电势分布的必要性。

图4 (a)(b)不同聚合物浓度下,研究团队理论的数值解与HH-Donnan预测的对比;(c)(d)单体间的电势分布预测值对比
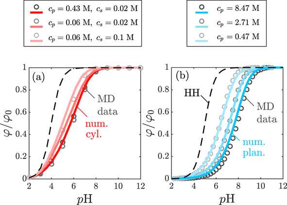
该理论框架的预测能力得到了严格验证。其中该理论模型对弱聚电解质溶液和弱聚电解质凝胶的预测分别与已发表的分子动力学模拟结果高度一致(图5),并能很好地复现聚甲基丙烯酸(PMAA)等经典聚电解质的实验滴定曲线(图6),充分展现了其对真实体系的解释潜力。这项工作为理解开放和半开放体系下亚浓弱聚电解质的电离平衡提供了一个普适的理论框架,清晰刻画了双电层从重叠到非重叠、体系从弱带电到强带电的连续转变,为聚电解质溶液流变学、智能凝胶设计、生物大分子静电相互作用等研究提供了普适的理论预测工具。

图5 分子动力学模拟与数值解对比:(a)弱聚电解质溶液;(b)弱聚电解质凝胶

图6 PMAA滴定实验数据与数值解对比:(a)圆柱模型;(b)平板模型
本研究得到国家自然科学基金项目(No.12372259)的支持。北京大学先进制造与机器人学院博士生张润祺为论文第一作者,博士毕业生段明宇(现为北京工业大学讲师)、博士生陈佳东分别为第二、第三作者,陈光为通讯作者。
© 版权声明
本文由分享者转载或发布,内容仅供学习和交流,版权归原文作者所有。如有侵权,请留言联系更正或删除。

















又是高深理论,咱这种本科生只能看看图凑热闹😂
之前做凝胶实验老对不上理论值,看来得换套思路试试。
那个圆柱模型的曲率影响具体咋算的?没看懂图3。
弱聚电解质这块一直挺绕的,这次模型看着清晰点。
北大这课题组又发大分子了,太强了吧!