文章导读
你正准备入手一辆电动车,却担心几年后电池在酷暑中迅速衰竭?全球变暖确实在加速电池老化,旧技术下寿命最高可能缩短30%,尤其在炎热的发展中国家更甚。但北大孙铭阳团队最新研究揭示了一个被忽视的关键转折:2019年后的新电池技术,竟凭借热稳定性提升,几乎抵消了气候带来的寿命损失——即便升温4°C,新电池仍比旧电池在常温下更耐用。这项突破不仅改写了电动车的生存逻辑,还暴露出一个惊人事实:我们一直在用过去的测试标准,衡量未来的电池韧性。那么问题来了,你现在买的车,用的是哪一代技术?
— 内容由好学术AI分析文章内容生成,仅供参考。
近日,北京大学先进制造与机器人学院孙铭阳研究员团队在气候科学顶级期刊《自然·气候变化》(Nature Climate Change)上发表题为《电动汽车电池技术进步抵消气候变化引发的耐久性挑战》(“Technological improvements in EV batteries offset climate-induced durability challenges”)的研究长文(Article)。

论文截图
2026年3月6日,《自然》(Nature)杂志将该成果遴选为Research Highlight,并以“Electric-vehicle batteries toughen up to beat the heat”为题进行了亮点评述和推荐。此外,本研究还被全球多国媒体报道超过21次,其中包括欧洲新闻台(Euronews)、世界最大的西语新闻平台之一Infobae等。

《自然》截图
电动汽车(EV)是交通运输领域脱碳的核心路径,但其电池性能与使用寿命对温度极端变化高度敏感。气候变化正在持续改变全球各地的热环境:极端高温加速电池老化,而极端低温也可能产生负面效应。这两种效应的净结果,很可能是缩短电池寿命、推高使用成本、抑制电动车普及,并增加全生命周期碳排放。
然而,这种能源技术与气候的关系并非一成不变:电池技术的持续进步,包括更低的温度敏感性、更高的循环耐久性,本身就构成一种重要的气候适应策略。此前,鲜有研究系统量化技术演进如何动态调节气候变化对电池耐久性的影响。本研究正是为填补这一空白而展开。
针对这一痛点,研究团队提出了一种深度融合车辆运行与电池物理机理的多模型耦合框架,突破了传统模拟的精度限制,实现了对电动汽车系统气候韧性与技术适应力的高保真度量化分析。具体而言,本研究构建了一套自下而上的综合模拟框架,将电动车行驶模型、电池热管理模型与电池退化模型相耦合,并结合经统计降尺度与偏差校正处理的CMIP6全球气候模式数据,对全球300座主要城市的电动汽车电池寿命展开系统评估。

本文构建的物理-数据耦合驱动电动汽车电池气候韧性评估框架
本研究通过分析对比“旧电池技术”(2010—2018年量产)与“新电池技术”(2019—2023年量产)的退化模型,该研究首次揭示了技术进步对电池耐久性的实际影响。其核心发现如下:
1、气候变化将显著缩短旧电池寿命,新电池技术有效抵消这一影响
在全球升温2°C情景下,旧电池的平均寿命将下降约8%,最大降幅达30%;而采用新电池技术后,平均寿命降幅仅为3%,最大降幅收窄至10%。即便在升温4°C的极端情景下,新电池的寿命仍可超过旧电池在历史气候下的基准寿命。电池单体温度升高是导致寿命缩减的主要驱动因素。

气候变化和技术进步对电池寿命的影响。左图展示了电池的绝对寿命在300个世界城市的分布,红色与蓝色柱状图分别代表旧电池和新电池;右图展示了不同变暖幅度下,电池寿命在不同城市的相对变化分布
2、新电池技术缓解了气候影响的区域不平等
研究发现,在旧电池技术条件下,气候变暖对电池寿命的冲击在低人均GDP国家和地区更为严峻,呈现出明显的经济不平等特征。新电池技术凭借更强的气候韧性,有效抑制了这一不平等趋势,使气候影响的区域分布更趋均衡。例如对旧电池技术而言,历史气候态下在不同城市的电池寿命为大约15年,但是在2°C变暖情景下,在靠近赤道的炎热地区寿命可能会下降到8年。相反,对于新电池技术,即便在2°C变暖情景下,寿命依然稳定的分布在17年左右,并且地图显示在靠近赤道的炎热地区寿命也同样稳定。

气候变化在历史期和2°C变暖情况下的寿命分布。左图展示了不同电池技术的绝对寿命在300个世界城市的分布。右图的b、c子图分别展示了旧电池和新电池的寿命在不同城市的分布

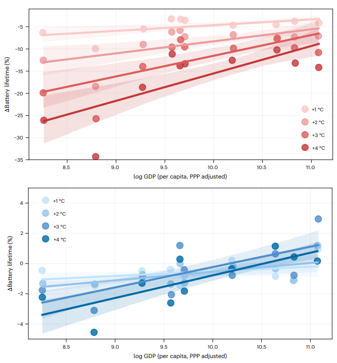
电池寿命变化的区域公平性分析显示了不同变暖情景(+1°C至+4°C)下GDP(人均,经购买力平价调整)与电池寿命缩短之间的关系 °C,如旧(上图,红色)和新(下图,蓝色)电池的图表所示。与高GDP国家相比,较陡的斜率表明低GDP国家随着变暖的寿命缩短幅度更大
3、电池技术进步具有显著的气候适应“协同效益”
本研究揭示,面向脱碳目标驱动的电池技术研发,在提升能量密度与降低成本之外,还内生地产生了显著的气候适应协同效益(Co-benefits)。具体而言,近年来电池在热管理系统优化、正负极材料热稳定性提升以及电解液配方改良等方面的技术迭代,无意中增强了电池抵抗极端高温老化的能力,打破了之前气候变暖必然导致能源基础设施或能源技术脆弱性加剧或加速衰退的传统认知。研究同时指出,固态电池、硅负极电池等新兴技术目前仍处于商业化前期,其在未来复杂升温情景下的实际耐久性仍有待进一步的大规模验证。因此,未来的技术研发应将更高的极端运行温度与更长的生命周期波动纳入核心考量,实现从“被动承受”向“主动适应”的转变。
本研究最后强调,气候变化对电动汽车电池寿命的影响因技术代际和地理区位而存在显著差异——旧电池在升温2°C下平均寿命缩短8%、最大缩短30%,而低GDP地区所受冲击尤为集中。为确保电动汽车在气候变化背景下持续发挥交通脱碳的核心作用,我们提出以下建议:
1、将气候情景纳入电池测试与认证标准
当前电池耐久性测试标准主要基于历史气候条件,尚未系统覆盖未来升温情景。建议IEC等国际标准化组织将前瞻性气候预测纳入电池可靠性测试体系,尤其应针对新兴技术(如固态电池、硅负极电池)在高温工况下的长期退化行为制定专项测试规范,以确保商业化产品在未来气候环境中的实际耐久性达标。
2、以气候适应为导向推进电池技术研发
研究表明,新一代电池(2019—2023年)在升温4°C情景下的寿命仍可优于旧电池在历史气候下的基准水平,这一代际进步具有显著的气候适应协同效益。建议未来研发在提升能量密度与降低成本的同时,将更高运行温度(对应升温2°C至4°C场景)和更长工况周期纳入设计目标,重点攻关电池组件、电极材料、电解液配方及热管理系统的耐热性能,以保障电池在更极端气候条件下的耐久性。
3、实施兼顾公平的气候适应政策
研究发现,在旧电池技术条件下,气候变暖对低GDP地区的电池寿命冲击显著大于高GDP地区,区域不平等特征突出。尽管新电池技术有效缩小了这一差距,但技术获取能力的差异可能使低收入地区在电动汽车气候适应方面长期处于不利地位。国际气候与能源治理框架应通过加强技术转移、气候融资及能力建设,重点支持发展中国家获取和应用最新电池技术,避免气候变化进一步加剧全球能源转型中的区域不平等。
本文由孙铭阳课题组、浙江大学网络传感与控制(NeSC)课题组、美国密西根大学安娜堡分校Michael T. Craig助理教授课题组联合发表。第一作者为课题组博士生吴浩驰(现为美国斯坦福大学博士后)。孙铭阳与Michael T. Craig为通讯作者。主要合作者包括美国密西根大学陈嘉珲博士和Parth Vaishnav教授。本研究得到了国家自然科学基金、国家科技重大专项等项目资助。
© 版权声明
本文由分享者转载或发布,内容仅供学习和交流,版权归原文作者所有。如有侵权,请留言联系更正或删除。















这种论文对普通车主有啥实际意义?
老车主的电池衰减问题咋办,新技术能反向升级吗
电池寿命延长对二手车残值应该有好处吧
所以现在买电动车是不是该再等等?
之前开电动车一到冬天就掉电快,新技术能解决不?
看不懂这些数据,但感觉挺厉害的😂
搞这么复杂,不如直接说说新电池能多用几年
这种研究能落地吗?感觉离实际用车还有点远
电池要是真能抗住高温,那夏天续航焦虑能少一大半