文章导读
你可能从未想过,那些藏在宇宙最深处的五夸克粒子,竟和人工智能撞出了火花。传统计算方法在处理多夸克束缚态时,常因复杂相互作用陷入瘫痪,而大多数人仍以为只能靠巨型超算硬扛。但我们发现,北大朱世琳团队的DeepQuark框架,竟用神经网络“重构”了量子世界的波函数——它不靠蛮力,而是让AI学会物理对称性规则,自动逼近最真实的粒子状态。在四夸克体系中结果与传统方法一致,但在五夸克领域却实现了前所未有的全量子计算突破。这个算法真正可怕之处在于:它可能正在改写我们探索强相互作用的基本路径。如果连色禁闭机制都能被学习和模拟,下一代物理发现还会远吗?
— 内容由好学术AI分析文章内容生成,仅供参考。
探索强相互作用物质结构是当前高能核物理和粒子物理研究前沿。2003年来,国内外高能加速器实验相继报道了一系列奇特强子态。这些态超越了传统强子(包含一对正反夸克或三个夸克)的图像,可能是由四个或五个夸克组成的多夸克态。研究多夸克态的能谱与内部结构,对理解强相互作用的基本理论——量子色动力学具有重要意义。然而,受限于量子色动力学的低能非微扰特性,多夸克态中复杂的相互作用机制尚不清晰。同时,作为由强相互作用主导的量子多体体系,多夸克态的动力学计算面临多重困难。
北京大学物理学院理论物理研究所朱世琳团队和东南大学孟璐研究员合作,构建了首个用于研究多夸克束缚态的神经网络波函数框架——DeepQuark(图一)。该框架利用神经网络表示高维函数的优异能力,使用包含对称性信息的物理基矢作为输入,构建了满足物理对称性约束、能够正确描述不同多夸克态构型及其中强关联效应的波函数拟设。通过使用变分原理与蒙特卡洛算法对神经网络波函数进行迭代训练,该框架可以高效求解多夸克体系的哈密顿量,得到高精度的基态波函数与能谱。

图一 DeepQuark神经网络波函数框架示意图
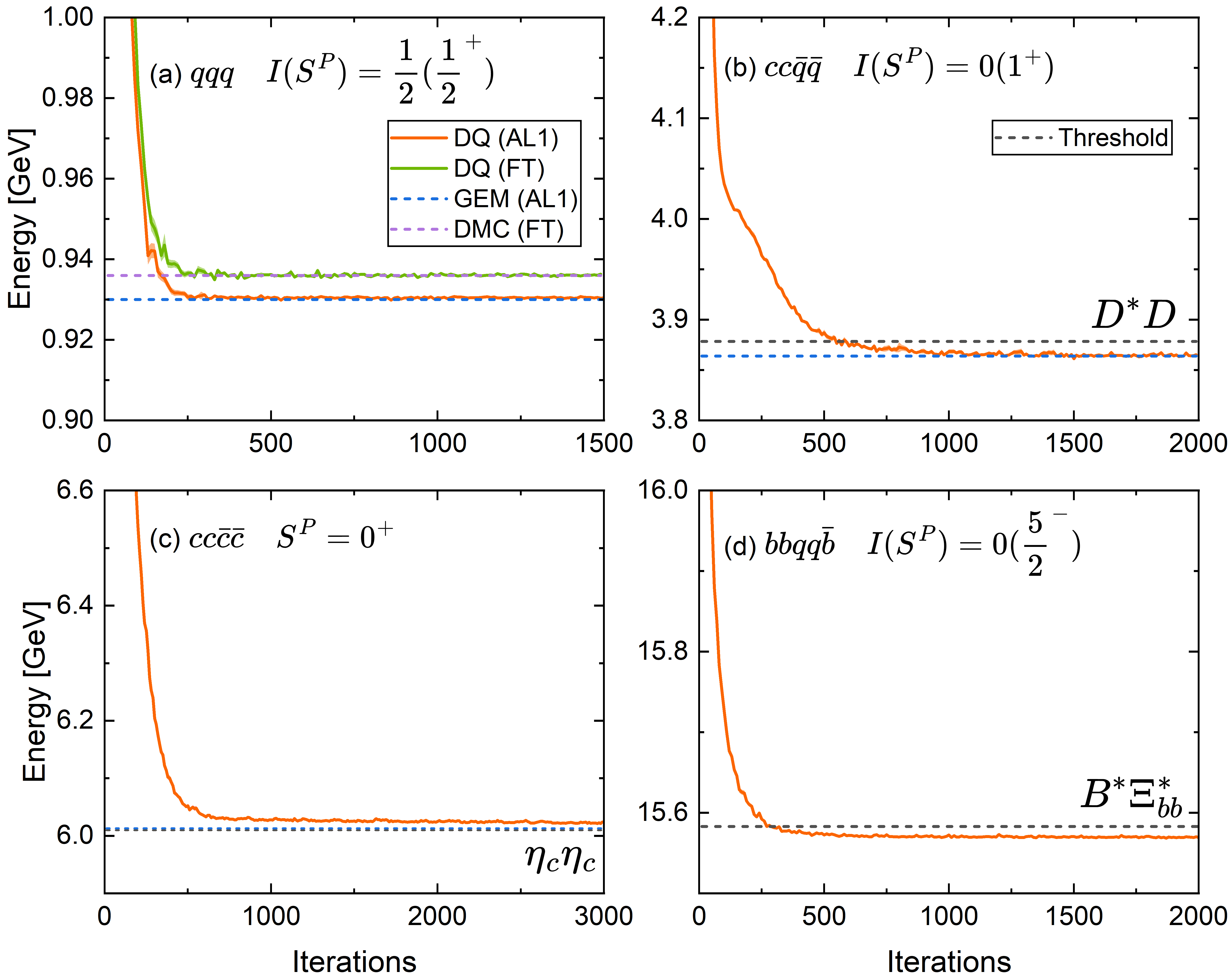
团队使用该框架对重子、四夸克及五夸克体系进行了研究。在重子体系中(图二a),该框架以接近相同的计算成本,高效处理了两体线性禁闭势与少体流管型禁闭势,体现了该框架研究复杂相互作用势的能力。在四夸克体系中,团队研究了实验与理论中备受关注的双重味四夸克(图二b)与全重味四夸克(图二c)体系。DeepQuark框架得到的基态能级结果与传统数值方法一致,且统一地描述了介子分子态Tcc与紧致四夸克态Tbb。在传统方法难以进行完整动力学求解的五夸克体系中,DeepQuark框架展现出明显的优势,高效地实现了基态波函数的全量子计算,预言了与四夸克态Tcc对应的三重味五夸克束缚态(图二d)。该研究为求解复杂的多夸克体系,探索多夸克态中的色禁闭机制提供了高效而强有力的算法,也拓展了机器学习方法在高能物理与量子多体物理研究中的应用。

图二 (a)核子、(b)双粲四夸克、(c)全粲四夸克、(d)三底五夸克体系基态能量迭代收敛结果
该研究成果以《求解多夸克束缚态的深度神经网络方法》(“DeepQuark: A Deep-Neural-Network Approach to Multiquark Bound States”)为题,于2026年2月18日在《物理评论快报》(Physical Review Letters)上发表。北京大学物理学院2023级博士生吴伟霖为论文第一作者,朱世琳以及孟璐为通讯作者。本项研究工作得到了国家自然科学基金、北京大学高能物理研究中心、德国科学基金会的支持。
© 版权声明
本文由分享者转载或发布,内容仅供学习和交流,版权归原文作者所有。如有侵权,请留言联系更正或删除。












神经网络现在都用到高能物理了,发展真快啊
想问下这个框架能用在其他量子多体系统上吗?
之前搞过蒙特卡洛模拟,这种算法实现起来应该挺复杂的
完全看不懂但感觉很厉害的样子
这算法名字挺有意思,DeepQuark听着像科幻片里的技术🤔