文章导读
你是否想过,电阻随温度线性变化的“奇异金属”背后,隐藏着怎样颠覆传统的物理机制?南京大学李建新课题组最新理论突破,首次在转角双层二硒化钨中预言并揭示了一种全新的赝能隙相,破解了莫特相变中长期悬而未决的谜题。研究不仅描绘出电位移场调控下的完整相图,更指出实验中观测到的奇异金属行为,源于具有费米口袋的赝能隙态。这一发现为理解高温超导类现象提供了全新视角,也为在莫尔体系中探索非费米液体物理开辟了可验证的新路径。
— 内容由好学术AI分析文章内容生成,仅供参考。
近日,南京大学物理学院李建新教授课题组在转角过渡金属硫化物强关联物理领域取得重要理论研究进展。该研究利用集团微扰理论和变分集团方法,理论计算揭示了转角双层二硒化钨(tWSe₂)在半填充条件下通过电位移场调控带宽所诱导的莫特相变全过程,首次预言该过程中存在赝能隙相,并指出实验中观测到的奇异金属行为源于具有费米口袋的赝能隙相。
凝聚态物理的一个核心挑战在于揭示莫特物理的本质,其中的关键问题之一是理解强关联效应如何催生出赝能隙和奇异金属等超越传统朗道-费米液体理论框架的新奇物相。传统量子材料中难以对莫特绝缘体-金属相变进行连续调控,这在一定程度上限制了该领域的进展。近年来,具有平带特性的莫尔超晶格为实现高度可调的强关联物理提供了理想平台。其中,转角过渡金属硫化物因其掺杂浓度连续可控、电子结构灵活可调、物理模型清晰、关联效应丰富,已成为探索新奇关联量子物态的重要前沿体系。此前的实验在转角双层二硒化钨中观测到电位移场调控的莫特绝缘体-金属相变,以及电阻随温度呈线性变化的奇异金属行为,这些现象与高温超导铜氧化物中的行为相似,然而其背后的关联态本质及相关的底层莫特物理机制仍不明确。
针对上述问题,该工作基于莫尔哈伯德模型,结合连续模型对第一性原理数据进行拟合,并采用集团微扰理论和变分集团方法等先进数值计算手段,系统研究了半填充tWSe₂的相图演化过程。研究表明,在电位移场的连续调控下,该体系呈现出一系列丰富的相变过程(见图1):在较小电位移场下,系统处于具有费米弧的赝能隙相,其电子谱函数在费米能级附近表现出部分能隙和残余谱权重;随着电位移场增大,系统进入具有清晰莫特能隙的莫特绝缘体相;电位移场继续增加时,莫特绝缘体相消失,系统转变为具有费米口袋的赝能隙相,并最终演化为常规的费米液体相。这一相图序列首次揭示了赝能隙相在过渡金属硫族化物摩尔体系中的存在。

图1:半满tWSe₂在电位移场调控下费米面的演化。其中红色点线展示了对应参数下无相互作用系统的费米面以作对比。
进一步地,该工作通过分析单粒子格林函数的极点和零点,深入揭示了赝能隙相产生的微观机制。在赝能隙相中,电子关联导致格林函数在动量空间的某些方向出现零点(G=0),而在其他方向保留极点(G=∞)。该特征表明,赝能隙的成因源于强关联驱动的电子能带重构,而非来自磁序引起的能带折叠。这是因为单纯的磁性能带折叠无法产生格林函数零点,且计算结果进一步表明,赝能隙的存在不依赖于体系是否具有磁序。

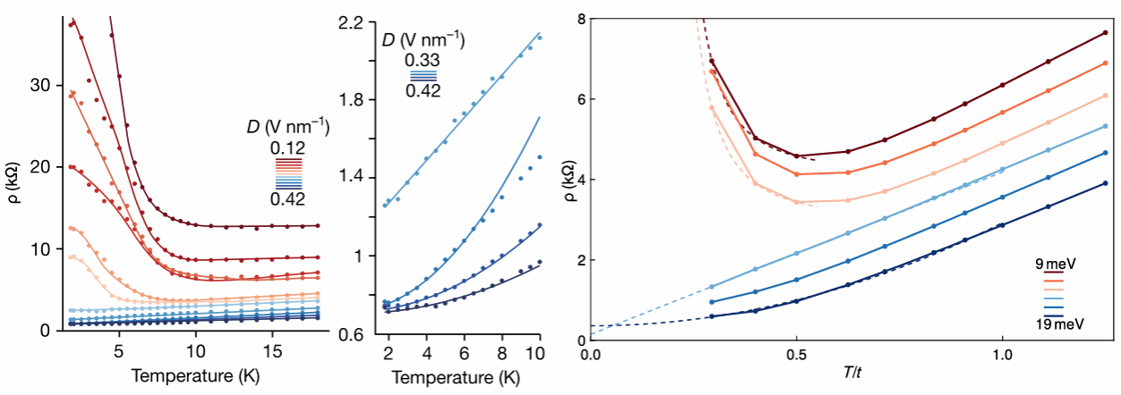
图2:半满tWSe₂在电位移场调控下的电阻温度依赖关系。左图和中图是实验结果[Nature 597, 345-349 (2021)],右图是该工作的理论计算结果。
尤为重要的是,课题组发展了一种以含时变分原理(time-dependent variational principle, TDVP)作为杂质求解器的有限温集团微扰理论方法,以此为基础计算了体系的电阻温度依赖关系。指出实验中观测到的电阻率随温度线性变化的奇异金属行为,其起源正是第二个具有费米口袋的赝能隙相。在该相中,强关联效应导致电子散射显著增强,从而使电阻率行为明显偏离传统费米液体理论的预期。
此外,该工作还提出了通过角分辨光电子能谱和扫描隧道显微镜直接探测这些奇异态的实验方案。对于具有费米弧的赝能隙相,角分辨光电子能谱应显示费米能级附近谱权重的部分抑制和弧状分布;而对于具有费米口袋的相,应观察到分离的小费米面。通过计算准粒子干涉图样,研究团队预言了扫描隧道显微镜实验应观测到与费米口袋相关的独特干涉条纹。
该工作首次在理论上完整揭示了tWSe₂中电位移场调控的莫特-金属相变全过程,明确了赝能隙相作为莫特绝缘体与费米液体之间桥梁态的本质。研究不仅深化了对莫特物理的理解,也为在高度可调的莫尔平台中探索超越朗道费米液体范式的新奇物态开辟了新途径。理论预言的费米弧和费米口袋态有望通过纳米角分辨光电子能谱和扫描隧道显微镜等先进谱学技术直接观测,将推动莫尔强关联物理的实验研究进入新阶段。
该成果以“Pseudogap with Fermi Arcs and Fermi Pockets in Half-Filled Twisted Transition Metal Dichalcogenides”为题,在线发表在《Physical Review X》上[Phys. Rev. X 16, 011005 (2026)]。课题组博士研究生宗永越为第一作者,顾昭龙副研究员和李建新教授为共同通讯作者。该研究得到了国家重点研发计划、国家自然科学基金、江苏省自然科学基金、人工微结构协同创新(2011)中心的支持。
论文链接:https://journals.aps.org/prx/abstract/10.1103/kmn8-y59j
© 版权声明
本文由分享者转载或发布,内容仅供学习和交流,版权归原文作者所有。如有侵权,请留言联系更正或删除。

















看完有点懵,莫特相变是啥意思?
费米口袋的赝能隙相解释电阻线性变化很有说服力
请问这个理论模型能应用到其他材料体系吗?
电位移场调控带宽这个思路挺新颖的
之前做实验也遇到过类似现象,确实挺难解释的
这个赝能隙相的预言很有意思啊🤔