森环森保所证实了运用机器学习的建模方法评估人工林生态系统碳储量的可行性
文章导读
地下碳储量难以测算,如何精准评估人工林的固碳能力?中国林科院森环森保所最新研究证实:借助机器学习,仅凭地上碳储量数据即可高效推算土壤碳储量!研究团队基于全国马尾松人工林数据,对比四种算法,发现随机森林和人工神经网络模型表现最优,能解释33%-60%的碳储量变异。这一突破为大尺度森林碳汇监测和气候政策制定提供了全新技术路径。
— 内容由好学术AI分析文章内容生成,仅供参考。

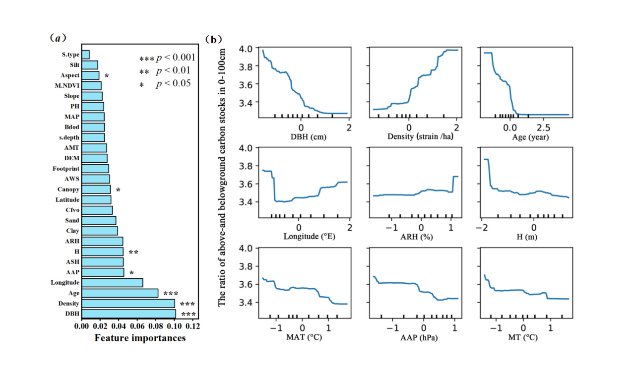
图:基于随机森林的人工林碳储量关系指数模型的特征重要性排序及偏依赖图
准确估算森林生态系统碳储量对于评估森林碳动态、保障森林可持续经营以及制定有效的温室气体减排政策具有至关重要的作用,然而地下土壤碳储量的准确量化仍面临着较大挑战。
基于此,中国林科院森环森保所气候变化与生态系统管理学科组以全国马尾松人工林的历史文献和实地调查数据,通过四种机器学习算法构建、比较了地上-地下碳储量关系指数(K)模型,旨在验证区域尺度森林生态系统碳储量评估的可行方法。研究发现立地因子、地形、气候和土壤特性共同解释了各土层K值33%-60%的变异(P< 0.001)。地上与地下碳储量呈显著正相关(P< 0.001),而K值随土壤深度和乔木层碳储量的增加显著降低(P< 0.05)。在单土层模型中,人工神经网络表现最佳(R² ≥ 0.64,P< 0.001);而随机森林模型在整个土壤剖面更具优势(R² = 0.50,P< 0.001)。这些发现证实了通过机器学习算法从地上碳储量推断土壤碳储量的可行性,为利用森林清查和遥感数据开展大尺度碳储量评估提供了可靠框架。
相关研究成果以“Carbon stock assessment using Machine learning based modeling inPinus massonianaplantations”为题,于2025年10月发表在国际学术期刊《Trees, Forests and People》。森环森保所博士研究生朱粟锋为论文第一作者,刘常富教授和勾蒙蒙助理研究员为通讯作者。本研究由国家自然科学基金重大项目课题(32192434)、院所基金(CAFYBB2022XD002、CAFYBB2023QB005)、林业和草原科技成果国家级推广项目(2023133116)的共同资助。
© 版权声明
本文由分享者转载或发布,内容仅供学习和交流,版权归原文作者所有。如有侵权,请留言联系更正或删除。
相关文章
暂无评论...

















