近日,中国科学技术大学微尺度物质科学国家研究中心、物理学院、中国科学院强耦合量子材料物理重点实验室陈仙辉院士、项子霁教授研究团队在磁性拓扑物态研究中取得重大进展。研究团队与中国科学院合肥物质科学研究院强磁场科学中心周建辉研究员合作,通过横向电输运、热输运测量在磁性外尔半金属NdAlSi中发现显著增强的霍尔洛伦兹数及相应的反常形式维德曼-弗兰兹定律偏离,并揭示其形成机制与近藤型散射有关。该结果为理解磁性拓扑材料中自旋与电荷自由度复杂相互作用提供了重要启示。相关研究成果于11月26日以“Abnormally enhanced Hall Lorenz number in the magnetic Weyl semimetal NdAlSi”为题发表在Nature Communications杂志上[Nat. Commun. 15, 10255 (2024)]。
绝大多数金属材料在低温下的输运行为由朗道费米液体理论描述,其热导率k和电导率s之间的对应关系满足维德曼-弗兰兹定律k=σTL0,其中的常数L0 (=2.44×10-8WΩK-2)为洛伦兹数L的索末菲值。随着温度升高,电子受到逐渐增强的电子-电子和电子-声子非弹性散射作用。导致输运行为偏离维德曼-弗兰兹定律,实验现象表现为洛伦兹数L小于L0。另一方面,洛伦兹数L大于L0的现象(即反常维德曼-弗兰兹定律偏离)在实际材料中非常罕见,仅在铜氧化物高温超导体正常态赝能隙区间等少数非常规体系中有报道;该现象的出现表明电子的输运行为受到某些独立于非弹性散射的特殊物理机制影响,其成因至今仍未得到充分理解。
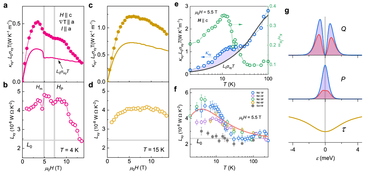
近年来磁性拓扑物态以其展示出的丰富输运现象及拓扑序可被外磁场有效调控的特性,受到了凝聚态物理学界广泛关注。研究团队在前期工作中对具有独特螺旋形亚铁磁序的外尔半金属NdAlSi高质量单晶开展了角度分辨强磁场量子振荡研究,结合第一性原理计算分析费米面结构随磁场和温度的演化,建立完整的磁场-温度相图 【Phys. Rev. Research 5, L022013 (2023)】。在此基础上,研究团队自主搭建了对小尺寸单晶样品进行高精度热电及热输运性质表征的实验装置,对NdAlSi的纵向热导率和横向热导率(热霍尔效应)开展系统测量,探索其热输运行为在不同磁场-温度相区之间的演化。测量结果显示NdAlSi的纵向热导率包含较大的声子贡献,其声子热导受到4f局域磁矩晶体场多重态共振散射及磁振子(顺磁振子)-声子散射的强烈影响;外磁场对这些散射过程的调控导致纵向热导率在磁场下出现非单调变化行为,表明NdAlSi自旋和晶格系统之间存在复杂的相互作用。横向热输运即热霍尔效应测量揭示了更为有趣的物理现象:如图1a-d所示,NdAlSi的低温霍尔热导率明显大于基于电导率数据和维德曼-弗兰兹定律推导出的数值,表明霍尔洛伦兹数Lxy相对索末菲值L0显著增强,对应于反常的维德曼-弗兰兹定律偏离。该现象在磁有序温度以上仍然存在(图1e),并且在较宽的磁场区间内出现;Lxy随温度和磁场变化均显示出非单调的演化行为,其最大值约为2L0(图1f),较大的热霍尔增强幅值排除来自声子和磁激发等电中性粒子的贡献。
上述实验现象表明NdAlSi的电子输运行为受到某种奇特散射过程的影响,其导致热流和电流的不同弛豫效率。研究团队结合理论模型构建和数值计算,指出异常增强的霍尔洛伦兹数来自5d巡游电子和4f局域磁矩之间的高阶自旋翻转弹性散射,即非相干近藤型散射过程。该散射机制导致准粒子的弛豫时间在化学势附近产生能量对称的极小值(图1g),进而电导率和热导率的积分函数也相应出现特殊的能量分布;在有限温度条件下,电导率受到来自弛豫时间极小值的更强抑制效应,造成洛伦兹数相对索末菲值L0增大。基于这一模型,数值计算给出了低温下增强的霍尔洛伦兹数(图1f),与实验结果相符。

图1.磁性外尔半金属NdAlSi的热霍尔效应和异常增强的霍尔洛伦兹数。a, b,4 K温度测量的横向热导率(a)与分析得到的霍尔洛伦兹数(b);c, d,同a, b,测量温度15 K;e,横向热输运偏离维德曼-弗兰兹定律的温度范围;f,霍尔洛伦兹数随温度的变化关系;g,近藤散射导致的弛豫时间和输运函数能量分布。
研究结果揭示了NdAlSi中的巡游电子和局域磁矩之间复杂的相互作用,除占据主导地位的间接磁交换作用之外,还存在着“隐藏”的非相干近藤散射效应;后者相对较弱,只能通过改变弛豫时间的能量分布对热输运和电输运的相对关系施加影响,导致霍尔洛伦兹数增强以及维德曼-弗兰兹定律的反常偏离。类似的非相干近藤散射很可能存在于其它磁性拓扑材料中。该结果推进了对磁性拓扑物态中电荷与自旋自由度之间相互作用及其诱导产生的奇特演生现象的认识,并证明热输运测量是探测这些相互作用和演生现象的有效实验手段。
中国科学技术大学物理学院的博士研究生张楠为文章的第一作者;周建辉研究员,项子霁教授和陈仙辉教授为文章的共同通讯作者。相关工作得到了科技部、国家自然科学基金委、中国科学院、安徽省引导项目以及校创新团队项目的资助。部分实验在中国科学技术大学理化科学实验中心完成。
论文链接:https://www.nature.com/articles/s41467-024-54632-0
(微尺度物质科学国家研究中心、未来技术学院、物理学院、中国科学院强耦合量子材料物理重点实验室、科研部)
© 版权声明
本文由分享者转载或发布,内容仅供学习和交流,版权归原文作者所有。如有侵权,请留言联系更正或删除。
相关文章
暂无评论...

















