利用X射线时变信号限制中子星物态研究获进展

查找参加最新学术会议,发表EI、SCI论文,上学术会议云
热门国际学术会议推荐 | 出版检索稳定,快至7天录用
2026年第五届网络、通信与信息技术国际会议(CNCIT 2026)
2026年智能机器人与控制技术国际会议(CIRCT 2026)
2026年传感器技术、自动化与智能制造国际会议(STAIM 2026
文章导读
你在解析毫秒脉冲星的X射线时变信号时,常被多普勒、相对论修正掩盖的脉冲轮廓搞得束手无策;多数人仍用单一热斑模型,导致质量、半径估计偏差数十%。最新研究推出基于广义相对论光线追踪的MONK‑NS程序,可同步模拟三维热斑几何、脉冲形状与偏振,并提供直接对比的检验判据。掌握它后,你将把传统误差压缩至可忽略的水平,在下一代X射线卫星数据面前实现对中子星物态的精准约束。到底这一步骤能让你省下多少试验与算力?
— 内容由好学术AI分析文章内容生成,仅供参考。

中子星天体是宇宙中超密物质的天然实验室。在X射线辐射以表面热辐射为主导的自转驱动毫秒脉冲星与吸积驱动毫秒脉冲星中,中子星表面辐射分布的非均匀性与其快速旋转效应共同作用,可使观测者观测到周期性X射线周期脉冲信号。这类信号携带中子星质量、半径等重要信息,但其轮廓受多普勒效应、狭义相对论及广义相对论效应等的影响。与多数以发现为驱动的天文观测研究不同,基于快速旋转中子星X射线脉冲轮廓约束其物理性质的研究,高度依赖理论计算的准确度与精度,这是解决该基本天体物理问题的关键所在。

近日,中国科学院上海天文台联合国家天文台,在利用快速自转中子星表面热斑产生的X射线脉冲信号约束中子星物态的研究领域取得进展。

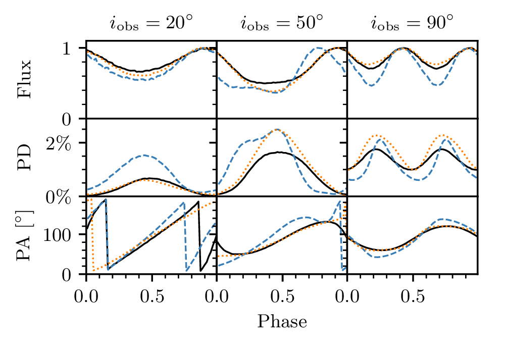
研究团队基于广义相对论光线追踪方法,模拟计算快速旋转中子星表面热斑所产生的周期性脉冲轮廓,所得结果与其他团队历经二十余年建立的多项检验标准高度一致。同时,研究团队构建了理论模型及配套数值计算程序——MONK-NS。该程序集成了广义相对论框架下的三维光线追踪与辐射转移过程,并具备内置X射线偏振辐射计算能力。依托上述功能,研究团队首次揭示了不同热斑几何构型对应迥异的X射线偏振辐射特征,并提出了脉冲信号偏振辐射的模型检验判据。

上述成果为下一代X射线天文卫星观测数据用于中子星物态的精准、严格约束奠定了重要理论基础。

相关研究成果发表在《皇家天文学会月报》(The Monthly Notices of the Royal Astronomical Society)上。研究工作得到国家自然科学基金委员会的支持。

论文链接:12

利用X射线时变信号限制中子星物态研究获进展

MONK-NS计算的不同几何形状热斑脉冲轮廓(上)、偏振度(中)和偏振角(下)对比图

© 版权声明
热门国际学术会议推荐 | 多学科征稿、征稿主题广 | 免费主题匹配
IOP-JPCS出版|2026年先进电子与自动化技术国际学术会议(AEAT 2026)
2026年第四届亚洲计算机视觉、图像处理与模式识别国际会议(CVIPPR 2026)
2026年智能机器人与控制技术国际会议(CIRCT 2026)
2026年传感器技术、自动化与智能制造国际会议(STAIM 2026)

相关文章

查找最新学术会议,发表EI、SCI论文,上学术会议云
热门国际学术会议推荐 | 立即查看超全会议列表

2 条评论

  • QuirkySquirrel
    QuirkySquirrel 读者

    偏振辐射是啥?能吃吗

    重庆重庆市
    回复
  • 彩虹彼端
    彩虹彼端 读者

    这论文名字我都念不顺…

    上海上海市
    回复