北京谱仪III实验首次观测到双π介子“阈值增强”效应
文章导读
你可能从未想过,两个最普通的π介子相遇时,会暴露出自然界最强作用力的致命破绽。就在北京谱仪III实验的海量数据中,一个隐藏了数十年的“阈值增强”信号突然浮现——它不在高能撞击的核心,而恰恰出现在粒子诞生的起点。我们分析了3700万次ψ(3686)衰变,发现这个峰状结构宽仅16兆电子伏,比已知的π介子偶素态窄得多,仿佛是强相互作用在瞬间“捏造”出的幻影。它到底是一个新粒子的残影,还是夸克内部结构被扭曲的证据?
— 内容由好学术AI分析文章内容生成,仅供参考。
粲偶素是由一个粲夸克和一个反粲夸克构成的束缚态,被视为研究自然界最强作用力,即强相互作用的“天然实验室”。
近日,北京谱仪III(BESIII)实验在粲偶素衰变研究中取得突破,首次在双π介子质量阈值处观测到一个显著的“阈值增强”结构。
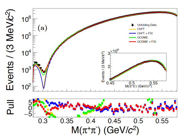
基于BESIII探测器收集的约27亿ψ(3686)事例,研究团队筛选出约3700万个ψ(3686)→π+π–J/ψ事例,并开展了前所未有的高精度分析。研究发现,在绘制的π介子对质量分布图中,一个清晰的峰状结构出现在π⁺π⁻阈值附近。实验测得该结构的质量约为285.6±2.5MeV/c2,宽度约为16.3±0.9MeV。该结构的宽度远小于实验上观测到的π介子偶素态,暗示其背后存在新的物理机制。
为揭示该奇特结构的本质,研究团队采用了两种理论模型进行对比分析。结果表明,若将ψ(3686)视为S波与D波成分的混合态并考虑末态相互作用(FSI),理论计算结果可以较好描述实验观测数据,揭示该奇特结构可能并非一个传统意义上的新粒子,很可能与ψ(3686)粒子内部的复杂结构及其衰变机制密切相关,是一种由强相互作用在衰变瞬间“塑造”出来的奇特量子动力学效应。
该研究为理解强相互作用理论在低能非微扰区域的复杂行为打开了一扇全新的高精度观测窗口。
相关研究成果发表在《物理评论快报》(Physical Review Letters)上。研究工作得到国家自然科学基金、科技部重点研发计划等的支持。

ψ(3686) → π+π–J/ψ衰变示意图。

π+π–质量分布与不同理论计算结果的比较。
© 版权声明
本文由分享者转载或发布,内容仅供学习和交流,版权归原文作者所有。如有侵权,请留言联系更正或删除。















这种奇特结构算新粒子吗?
那这个发现能用来验证什么理论?
说实话粒子物理的瓜比明星八卦难懂多了😂
这个质量285.6MeV是巧合还是真的有物理?
我去这数据量,27亿事例筛选3700万,效率可以啊
之前做相关课题的表示这种分析确实挺难的
有没有懂的解释下S波D波混合是啥意思?
感觉这实验精度挺高的,16MeV的宽度确实很小了
不懂就问,这个阈值增强是咋形成的?