文章导读
你可能以为高阶拓扑光场只能局域在微小角点、无法扩展,就像注定被困在角落的孤独波纹。但南京大学团队的最新实验打破了这一铁律——通过协同调控多个狄拉克质量,他们让原本蜷缩在一点的零能模突然“舒展”开来,在中心区域形成均匀分布的大面积单模。更关键的是,这种模式不仅稳定钉扎在零能,还暗藏一个可调的“规范自由度”,能让内部相位重构而不破坏拓扑保护。这意味着什么?
— 内容由好学术AI分析文章内容生成,仅供参考。
近日,南京大学物理学院詹鹏教授、王振林教授课题组及其合作者香港中文大学(深圳)解碧野教授在拓扑光场调控领域取得重要研究进展,基于手性对称性保护下的多狄拉克质量协同调控机制,突破传统高阶拓扑态空间指数局域的固有局限,首次获得了“大面积均匀”的高阶拓扑零能单模,不仅实现了模式面积的自由调控,更创新性地引入了 “规范”自由度达成模场相位的可控重构,为拓扑光腔的设计与应用开辟了新范式。
拓扑物态与体边对应关系已经深刻改变了能带理论的研究框架,除了传统的边界态之外,还能在角、铰链、涡旋等更低维的缺陷上产生拓扑模式,这些更高阶的拓扑模式通常以指数衰减的特征局域在某个点(线)缺陷附近,这些模式因缺乏模式面积自由度导致其在应用中受到限制。在以往的研究中,传统的拓扑边界态已经通过无质量的狄拉克材料在空间上被拓展,并且在不同维度、不同经典波系统中得到了验证,但在高阶拓扑绝缘体中,还没有建立一套完备的、多维度统一的理论框架来实现模式面积的扩展。
为了解决上述问题,本研究提出了一种新的物理机制:在手征对称性的保护下,通过多个狄拉克有效质量的协同作用,实现均匀离域的大面积高阶拓扑单模 (LHTSM)。这些模式具有均匀分布、大面积、子晶格锁定的特征,同时始终钉扎在零能处而不依赖于系统的尺寸大小。更重要的是,其内部相位具有可调的“规范自由度”,从而能够在不损失拓扑保护的前提下实现可控相位重构。并且在光子晶体中对上述理论预言进行了实验验证,实验结果与理论分析高度一致,为实现鲁棒的大面积拓扑光学器件提供了新的可行路径。
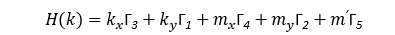
理论方面,从一个二维低能有效模型出发,

低能有效哈密顿量含有两个动量项与三个质量项,在手征对称性的作用下,其中一项质量m’恒为零。在实空间中精心设计剩余两个狄拉克质量的分布,如图1(a)所示,mx和my都会在中心实现符号的反转,在界面上两种有效质量都会经历由正到负的转变,这种转变对应着能隙闭合再打开的过程,对应着中心处高阶拓扑态的出现。本质上设计的是一个有效狄拉克质量改变符号的拓扑界面,有意的延展了质量反转界面,如图1(b)所示,在两个方向上的界面上都引入零质量的区域,使质量反转边界不再仅限于单一角点,而是共同围成具有有限面积的中心无质量区域。由此,传统局域高阶拓扑模式能够在该中心区域内展开,形成均匀大面积的高阶拓扑单模。

图1. Dirac质量分布诱导的拓扑零模示意图。(a)零能态的波函数及对应的质量分布示意图。其中,沿mx(x)和my(y)的畴壁交叉形成一个强局域的点状角模,并向体内呈指数衰减。(b)具有扩展无质量边界的零能波函数及其质量分布示意图,此时mx(x)和my(y) 分别沿其正交方向平移不变,从而得到一个大角区,其中拓扑零模在该区域内均匀分布,并向外侧快速指数衰减。
综合考虑理论方面的物理约束,选取能够产生全带隙的BBH模型进行数值计算,在零能处能够产生一个孤立的单模[图2(c)],该模式分布具有大面积、均匀、子晶格锁定的特征[图2(d)]。此外,该模式具有可扩展的性质,受到手征对称性的保护,随着模型层数的增加,保持其固定在零能的特征,且具有良好的鲁棒性[图2(e)(f)]。

图2. 大面积拓扑零模的紧束缚模型。(a) SSH、BBH模型及其能带示意图;(b)含有两层无质量区域的紧束缚模型(耦合强度由格点间距设定),其中蓝色矩形标示线缺陷;(c)五层无质量区域情况下的本征值谱,其中红点表示拓扑零模,其场分布见(d);灰色阴影区域内的模来源于线缺陷;(e)随无质量层数增加(5、8、11、14、17、20)时系统的本征值谱,其中红点表示零模,蓝点表示与其相邻的体态;(f)在存在随机扰动时、较大无质量区域(8 层情形)下零模的空间场分布。
更进一步的可以通过去除外部拓扑平庸的结构简化模型,该模式相邻元胞间存在π的相位差[图3(a)],这是由于在狄拉克质量内部还存在一种规范自由度,通过规范变换可以改变这种相位排布。图3(b)所示的规范变换使Dirac点从M点移动到Γ点,所有元胞间的π相位变为同相位[图3(c)]。

图3. 规范可调的大面积高阶拓扑单模及其光子晶体实现结构图。(a)去除外围拓扑平庸区域后的紧束缚大面积零模;(b)保持π磁通不变的规范变换,该变换使Dirac点从M点移动到Γ点;(c)规范变换后对应的大面积高阶拓扑单模;(d)两种光子晶体元胞的结构示意图,其中白色区域表示金属,紫色区域表示介质材料;(e)光子晶体零模的全波模拟结果;(f)具有不同无质量层数的光子晶体本征值谱,其中零模(红点)与附近体态(蓝点)之间存在频谱带隙。
此外,利用近场扫描技术探测,在光子晶体实验平台观察到了LHTSM,红色五角星为激励的点源位置,在不同位置利用探测探针获取电场分量信号。并且选取特定的蓝色五角星位置探测局域态密度(LDOS),绘制如图4(c)所示的谱线图。对比仿真与实验,确定带边模式的频率,锁定能隙的频率范围,并在能隙内观察到该孤立模式。

图4. 光子晶体中大面积高阶拓扑单模的模拟和实验观测图。(a)制备的二维光子晶体实物照片,其中红色和蓝色五角星分别标示激发点源和探测探针的位置,蓝色矩形勾勒出线缺陷区域;(b) 模拟得到的局域态密度谱,以及(c)实验测得的局域态密度谱,其中橙色区域表示带隙,峰②对应于大面积高阶拓扑单模,而峰①和峰③来源于体带边缘;(d)–(f)为三个模态的模拟场强分布;(g)–(i) 是与之对应的实验测量场分布。
理论层面:从低能有效模型出发,通过多个狄拉克有效质量的协同作用,设计了均匀离域的高阶拓扑单模,这一均匀分布的大面积模式,由于手征对称性的保护,固定在零能、子晶格锁定的性质。此外,通过内部的规范自由度,可以实现内部相位的调控。建立了描述大面积高阶拓扑态的理论框架,由于低能有效模型在不同维度的统一性,该理论可以被自然的推广到更高维度的系统。应用层面:本研究为实现内部相位可控的均匀大面积光学模式提供了可行方案,未来有望应用于大面积拓扑激光发射以及大面积拓扑光学器件的设计与制备。
研究成果以“Gauge-Tunable Uniform Delocalization of Higher-Order Topological Photonic Modes”为题发表于Phys. Rev. Lett. 136, 133801 (2026)。论文的第一作者为南京大学物理学院博士生李仕奇,南京大学物理学院詹鹏教授和香港中文大学(深圳)解碧野教授为论文的通讯作者,王振林教授对该工作做出了重要指导,南京大学现代工程与应用科学学院卢明辉教授、物理学院蔡宏灵教授,以及南京大学物理学院博士生贺雨、王韵朗、贾诗音、李浩天、黄人文、黄慧等也为工作作出了重要贡献。
论文信息:
DOI: https://doi.org/10.1103/dkvp-41zt
© 版权声明
本文由分享者转载或发布,内容仅供学习和交流,版权归原文作者所有。如有侵权,请留言联系更正或删除。

















南大可以的👍