实验揭示高山树线受种子供给与更新限制共同调控
文章导读
为何气候变暖,高山树线却停滞不前甚至后退?长达11年的实地实验揭开惊人真相:种子供给不足只是第一步,植食动物啃食、灌木竞争与庇护的双重角色、极端气候的致命打击,层层筛选幼苗存活。中国科学院青藏高原所团队在比利牛斯山脉发现,树线爬升受限于“种子供给—生物干扰—微环境—气候事件”的连锁调控机制。渐变型树线更脆弱,防护网竟能显著提升幼苗密度。原来,树线进退不仅是温度的博弈,更是一场多重生态力量的生死博弈。
— 内容由好学术AI分析文章内容生成,仅供参考。
此前研究发现,变暖背景下大部分高山树线明显爬升,但其爬升速率远不及预期,甚至部分树线出现了后退,这暗示了非气候因子也参与调控树线变化。其中,种子供给、幼苗建植、生物干扰等因素可影响树线位置,但其相对作用与交互效应缺乏长期实验证据。
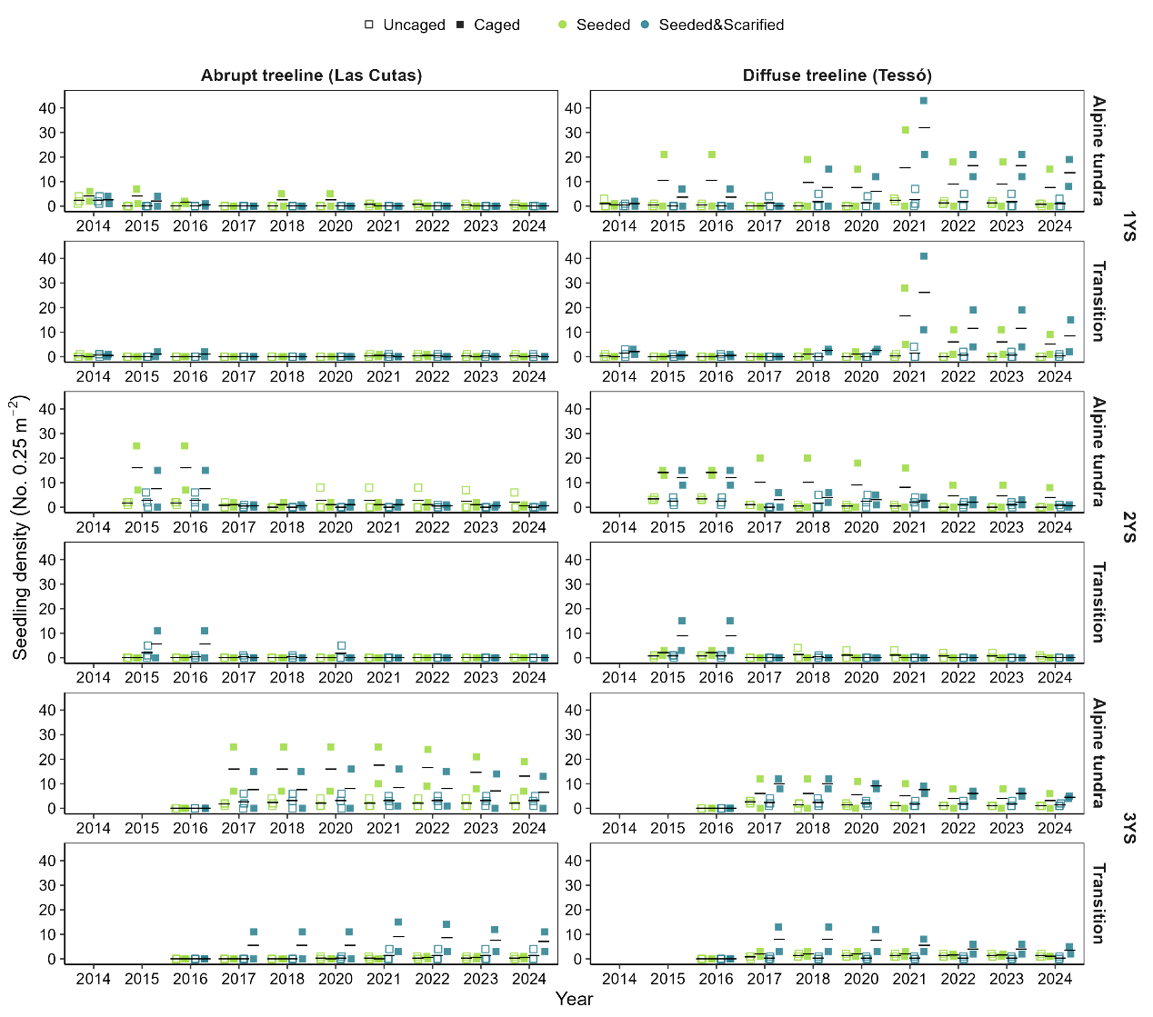
为揭示驱动树线动态的关键生态过程,中国科学院青藏高原研究所研究团队等,选取比利牛斯山脉的欧洲山松突变型与渐变型树线作为研究对象。实验设计包含控制、播种、松土及“播种+松土”四种处理,并在部分播种样方中设置网笼,以排除植食性动物。同时,研究通过2013年至2024年间的分批播种与持续监测,探究了不同环境条件与生态因子对树线幼苗更新的相对影响。
研究表明,种子可用性是两类树线幼苗更新的共同初始限制因子。播种可促使幼苗大量萌发,但随后几年幼苗存活率快速下降,该模式在渐变型树线中更显著。网笼防护则明显提高了幼苗密度,表明植食压力是关键生物限制因子。树线类型调节着生态过程的强度,渐变型树线对种子供给和植食压力表现出更高敏感性。灌木对幼苗影响具有双重性,即灌木可通过竞争限制幼苗生存,而在低温或风雪胁迫更强的环境中,可通过改善微环境促进幼苗存活。同时,极端气候事件导致新生幼苗的存活率大幅下降,这表明气候变暖提高了幼苗在夏季高温与干旱条件下的死亡风险。
综上,高山树线更新受多重生态因子的顺序性调控,即种子供给限制构成初始瓶颈,随后植食压力、微环境及气候条件作为选择性过滤器,共同影响幼苗建植与存活。这种多因素的动态平衡或决定了树线位置的相对稳定性和响应速率,也揭示了树线动态的复杂性并非仅受气候因素驱动。
近期,相关研究成果发表在《生态学杂志》(Journal of Ecology)上。

西班牙比利牛斯山脉的研究树线和实验样方处理

不同树线类型、幼苗龄级和区域的幼苗密度在监测期内(2014-2024)的时间动态

基于增强回归树模型的幼苗密度预测:网笼防护、灌木盖度与生长季最高温度的交互效应
© 版权声明
本文由分享者转载或发布,内容仅供学习和交流,版权归原文作者所有。如有侵权,请留言联系更正或删除。

















所以说生态系统真是环环相扣
这个发现对森林保护很有参考价值
期待看到更多地区的研究数据
2014-2024年这么长时间的观察,科研人员辛苦了
灌木居然还能帮幼苗挡风,自然界真神奇
网笼防护效果这么明显,那些植食动物得多能吃啊🤔
想问下松土处理具体是怎么操作的?
所以全球变暖不是唯一因素啊,这下明白了👍
之前爬山时就注意到有些山坡树长得稀稀拉拉的,原来是这个原因
这个研究挺有意思的,种子和动物都会影响树线变化