文章导读
你是否以为体重下降就一定对心脏有益?华中科技大学袁瑜团队最新研究颠覆认知:中老年人体重过低或腰围过大,竟都会显著增加心力衰竭风险!研究追踪4.5万人近十年,首次揭示体重与腰围变化的“双维风险”。更惊人的是,轻度减重却腹围暴增的人,心衰风险飙升119%,成为最危险人群。究竟哪种体重管理方式真正护心?三类高危模式曝光,答案出人意料。
— 内容由好学术AI分析文章内容生成,仅供参考。
近日,公卫学院袁瑜团队在国际期刊《恶病质、肌少症与肌肉杂志》(Journal ofCachexia,Sarcopeniaand Muscle,IF5y=10.5)发表题为“中国中老年人心力衰竭发病时体重、腰围或两者的变化”(Changes in Weight, Waist Circumference or Both With Incident Heart Failure in Chinese Middle-Aged and Older Adults)的论文。研究基于开滦队列,首次系统探究中国中老年人群体重、腰围单独和联合的变化与新发心力衰竭风险的关联,为心力衰竭的精准预防和中老年人群体成分管理提供科学依据。公卫学院袁瑜副教授与开滦总医院吴寿岭教授为共同通讯作者,2024级博士研究生尹瑜和2025级博士研究生唐瑞为论文共同第一作者,公卫学院为论文第一作者单位。
心力衰竭是全球重大公共卫生问题,既往研究多聚焦于体重指数、腰围等体成分指标的基线静态水平,忽略了其随时间的动态变化,这与体重管理年倡导的“动态监测、长期管理”理念存在脱节,且中老年人“体重-腰围反向变化”与心衰风险的关联尚未明确,存在研究缺口。为填补这一空白,助力体重管理年在中老年人群中的科学落地,袁瑜团队依托开滦前瞻性队列,开展一项覆盖45620名中国中老年人的大型流行病学研究。研究对参与者进行近10年的随访,得出以下发现。
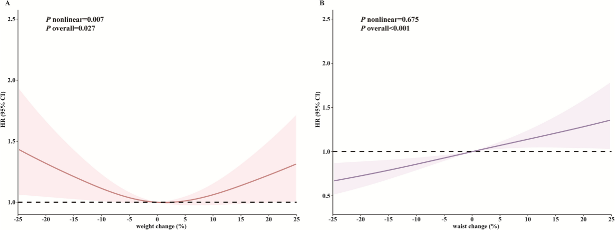
一是体重与腰围单独变化的风险效应,需纠正体重管理误区:体重变化与心力衰竭风险呈U型关联,打破“体重降低必然有益”的传统认知;腰围变化与心力衰竭风险呈正向线性关联,表明腰围增长是心力衰竭的独立危险因素。

图为体重变化与心衰风险发生的关联。

图为腰围变化类别与心衰风险发生的关联。

图为体重、腰围变化与心衰发生风险的限制性立方样条曲线。
二是体重-腰围联合变化的风险分层,有三类高危人群需重点关注:过度体重减少+腰围稳定,风险升高53%,提示中老年人群无明显诱因的体重下降可能伴随肌肉流失(肌少症),从而增加心脏负担;轻度体重减少+过度腰围增加,风险升高119%,这是所有组合中风险最高的模式,此类人群呈现“肌肉减少、脂肪堆积”的少肌性肥胖特征;过度体重增加+过度腰围增加:风险升高48%,反映全身肥胖与腹部肥胖的协同危害。

图为体重腰围联合变化类别与心衰风险发生的关联。
团队前期基于东风-同济队列和开滦队列的研究发现,在中老年人群中,与体重和腰围稳定组相比,体重与腰围的增加或减少均增加死亡风险,且体重变化和腰围变化与全因死亡风险均呈U型关联。此外,研究结果还显示:无论腰围的变化状态如何,体重增加的人群都有较高的死亡风险。与体重和腰围均保持稳定的人群相比,无论体重变化如何,腰围增加,均增加了死亡风险,且体重降低且腰围升高的人群全因死亡风险最高。
这一结论与此次心力衰竭研究相互印证,共同构成“体成分变化-健康风险”的完整证据链,呼应了体重管理年“长期监测、持续管理”的目标。在中老年人体成分管理中,应兼顾“体重稳定”与“腰围控制”,避免盲目减重,并重点关注腹部脂肪堆积问题。团队建议将腰围变化纳入常规健康监测指标,并对高危人群开展有针对性的营养干预和运动指导。
© 版权声明
本文由分享者转载或发布,内容仅供学习和交流,版权归原文作者所有。如有侵权,请留言联系更正或删除。
相关文章
暂无评论...

















