7月8日,机械学院周新平教授团队在液滴振动阻尼机理研究方面取得新进展,相关成果以“Wettability-Dependent Damping of Droplet Vibrations on Solid Surfaces(固体表面液滴振动的润湿性依赖阻尼特性)”为题,在线发表在物理学顶级期刊Physical Review Letters(物理评论快报)上。学院青年教师张飞为第一作者,周新平为通讯作者,合作者包括中国科学技术大学近代力学系特任副研究员张春雨、教授丁航等。值得一提的是,这项成果是华中科技大学在流体力学方向首次以第一/通讯单位在该期刊发表论文,也是学院第一篇以第一/通讯单位发表于该期刊的研究工作,标志着我校在流体力学基础研究国际前沿的重要突破。

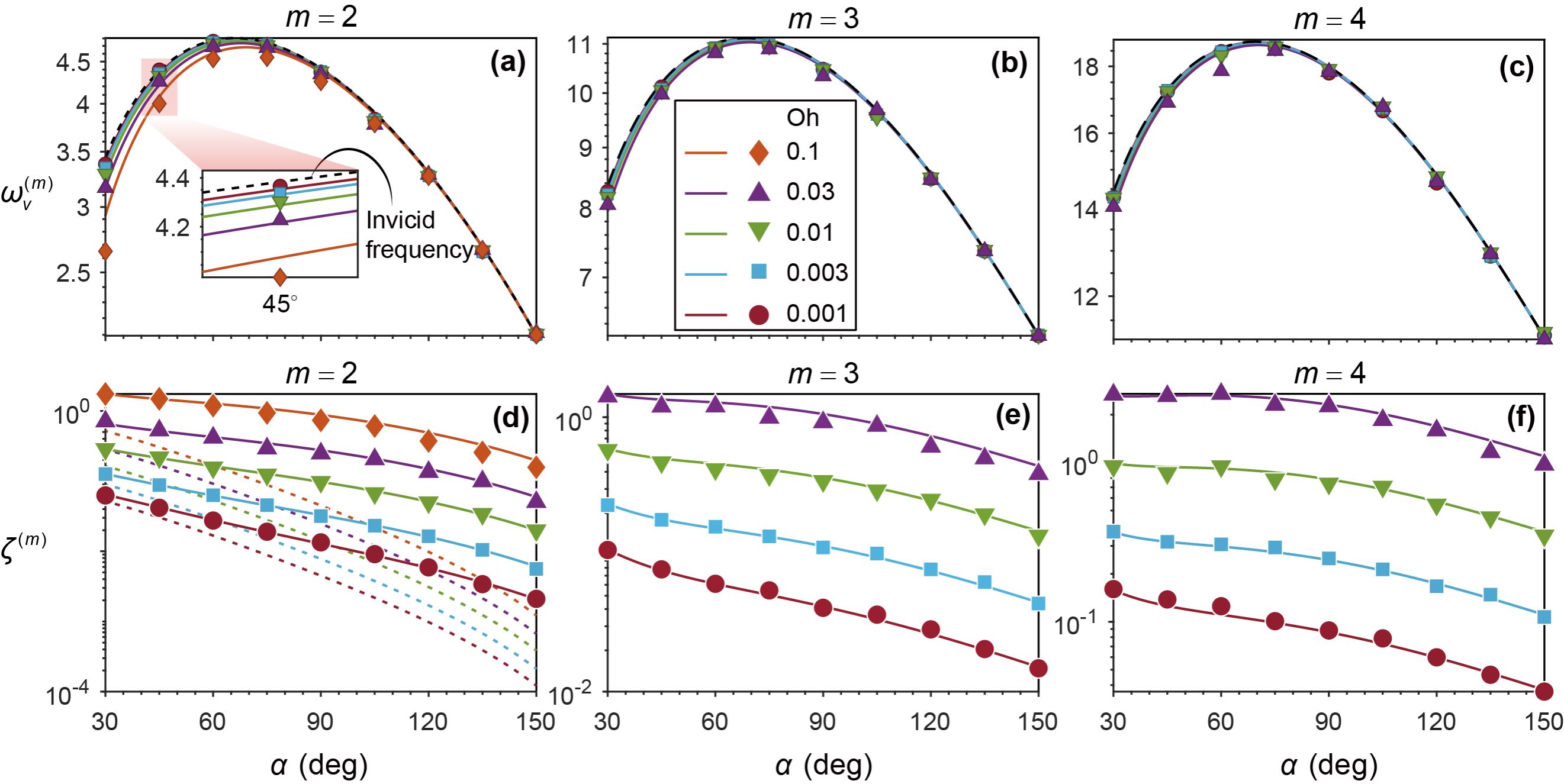
液滴振动广泛存在于喷墨打印、喷雾冷却、微流控和防雾等众多应用中,振动的自然频率与粘性阻尼特性直接影响液滴稳定性和破碎行为。然而,附着在固体表面的液滴因受壁面效应影响,导致振动阻尼难以准确预测,特别是在不同润湿条件下,传统模型常因忽略液滴内部的体粘性耗散而出现明显偏差,成为液滴动力学领域的经典难题。针对上述挑战,团队基于粘性势流理论,发展了一个简洁的“双项近似”模型,首次将液滴内部的体粘性耗散与壁面粘性耗散同时纳入预测框架。研究表明,当液滴处于疏水表面时,由于与固体的接触面积显著减小,壁面粘性耗散减弱,液滴内部的体粘性耗散反而成为主导效应,从而解释了长期存在但尚未厘清的理论与实验观测差异(如下图)。通过系统性的实验与数值模拟工作,该理论得到了充分验证,为固液界面粘性耗散机理研究提供了新的认识。


本研究针对受限液滴所提出的“双项近似”模型,不仅弥补了传统近似模型的局限,还为小量液体粘度的快速、非接触式测量提供了新思路。例如,通过对液滴振动衰减速率的观测,可用于反演液体粘度,对微流控、生物医学及功能涂层等领域具有潜在应用前景。此外,研究结果还为设计高性能疏水或亲水表面和优化界面稳定性等提供了理论指导。
该研究团队近年来在液滴动力学及复杂多相流等研究方面持续取得重要进展,已在物理学顶级期刊Physical Review Letters、流体力学顶刊Journal of Fluid Mechanics以第一作者或通讯作者身份发表论文22篇。
该研究工作得到了国家自然科学基金项目的资助支持。
论文链接:
https://journals.aps.org/prl/abstract/10.1103/cml9-n6jh
© 版权声明
本文由分享者转载或发布,内容仅供学习和交流,版权归原文作者所有。如有侵权,请留言联系更正或删除。
相关文章
暂无评论...
















 
                 
                 
                
 
                

