文章导读
超导体领域的“泡利顺磁极限”长期被视为一道无法逾越的物理铁壁——一旦磁场强度超过这个阈值,库珀对就会瞬间瓦解。但上海交大李政道研究所团队与合作者刚刚在Nature Materials发表的研究,可能要让这道铁壁出现第一道裂缝。他们在仅三个原子厚度的镓薄膜中,观察到了高达21.98特斯拉的面内上临界磁场,这一数值是泡利极限的3.38倍。
— 内容由好学术AI分析文章内容生成,仅供参考。
近日,上海交通大学李政道研究所&物理与天文学院长聘教轨副教授伊合绵与美国宾夕法尼亚州立大学物理系Chao-Xing Liu教授和Cui-Zu Chang教授合作团队在Nature Materials上发表了题为“Orbital-hybridization-induced Ising-type superconductivity in a confined Gallium layer”的研究论文,揭示了镓元素薄膜中由轨道杂化诱导的伊辛型超导态。
从“本征依赖”到“界面制造”的范式转变
在传统超导体中,库珀对遵循BCS理论,处于自旋单态,其上临界磁场受限于泡利顺磁极限。一旦外加磁场超过这一极限,自旋反向的电子对便会因塞曼效应而破裂。而在伊辛型超导体中,由于空间反演对称性破缺,自旋轨道耦合相互作用将电子的自旋锁定在面外方向,从而赋予库珀对抵御面内强磁场的能力。此前,这一特性仅在过渡金属硫化物(如MoS₂、NbSe₂)或锡烯等含重元素的二维体系中被观测到。
本研究中,团队独辟蹊径,不再受限于材料的本征属性,而是转向对微观界面的精细操控。研究人员创新性地采用了一种“无等离子体介入、仅由碳缓冲层辅助的限域外延技术”,成功制备出在大气环境下稳定存在的三明治结构的异质结:将厚度仅为三个原子的镓薄膜,限制在双层石墨烯覆盖层与碳化硅衬底之间(图1)。在这种超薄的量子限域环境下,原本自旋简并的元素镓,其电子结构和自旋性质发生了根本性的改变。

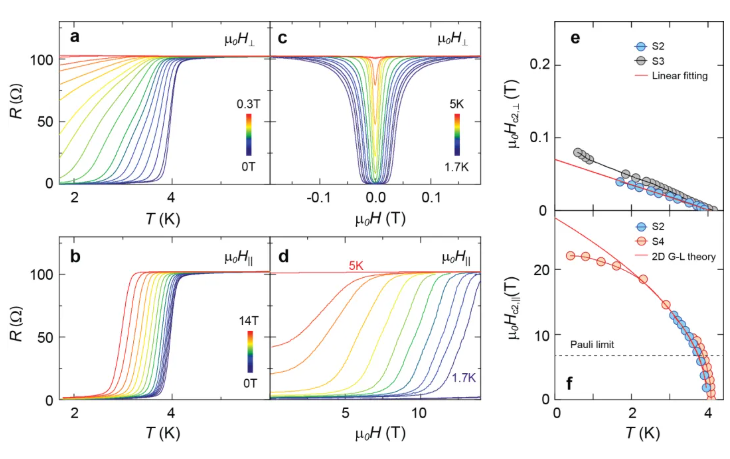
图1: 碳缓冲层辅助限域外延的石墨烯/三层镓/碳化硅异质结以及超导性质表征
超越泡利极限:在原子质量较轻的Ga薄膜中发现巨大的面内上临界磁场
低温电输运测量结果显示,该三层镓薄膜异质结在400 mK下展现出高达21.98特斯拉的面内上临界磁场。这一数值不仅远超常规超导体的理论上限,更达到泡利顺磁极限的3.38倍(图2),证实了水平强磁场下库珀对可以稳定存在以及典型的超越“泡利极限”特征。

图2:石墨烯/三层镓/碳化硅异质结中的超越泡利极限现象
微观机制揭秘:原子轨道杂化诱导“自旋 – 谷锁定”效应
为什么较轻的镓元素超导体可以违反泡利极限?研究团队结合高分辨角分辨光电子能谱与理论计算,阐释了其背后的微观物理图像(图3)。在布里渊区K(K’)能谷处,角分辨光电子能谱测量捕捉到了清晰的劈裂费米面,结合理论计算,发现了对应费米口袋上的伊辛型自旋织构。理论研究发现,底层镓原子与碳化硅衬底的硅原子之间存在强轨道杂化。这种界面效应重塑了镓层中库珀对的波函数,人为诱导出了通常仅在重元素材料中存在的能带劈裂和“自旋 – 谷锁定”效应。该机制将电子自旋锁定在面外方向,从而有效抵御面内强磁场的破坏。此外,团队通过将杂质散射引起的弛豫时间纳入理论模型,成功复现了异质结中测得的上临界磁场-温度相图(图4)。

图3: 石墨烯/三层镓/碳化硅异质结中具有劈裂费米面和伊辛型自旋织构的特征

图4: 原子轨道杂化诱导的三层镓薄膜中的伊辛超导
开启“人工设计”非常规超导物态的新路径
这项工作确立了一种探索非常规超导物态的新思路:利用量子限域与界面轨道杂化的协同效应,在更广泛、易获取的轻元素体系中,构建具有自旋保护特性的库珀对。这一突破不仅摆脱了对特定重元素材料的依赖,更为基于大尺寸晶圆的超导器件集成及低功耗自旋电子技术开辟了切实可行的新路径。
上海交通大学李政道研究所&物理与天文学院的长聘教轨副教授伊合绵,美国宾夕法尼亚州立大学物理系Chao-Xing Liu教授和Cui-Zu Chang教授担任共同通讯作者。共同第一作者包括伊合绵副教授、宾夕法尼亚州立大学博士生刘昀哲、助理研究教授董承业以及英国牛津大学杨伊珩博士。此外,美国宾夕法尼亚州立大学Joshua A. Robinson教授、Vincent H. Crespi教授,牛津大学陈宇林教授,北德克萨斯大学Yuanxi Wang助理教授,以及浙江大学胡仑辉研究员等也参与了该项合作研究。
论文原文:https://www.nature.com/articles/s41563-026-02573-y
作者: 李政道研究所 供稿单位: 李政道研究所
© 版权声明
本文由分享者转载或发布,内容仅供学习和交流,版权归原文作者所有。如有侵权,请留言联系更正或删除。

















界面工程现在这么牛了,人为诱导自旋锁定,有点东西。
轻元素也能行?以前只听说重元素才有这效果,长见识了。
三层镓就能搞出21特斯拉?这数据太离谱了吧,真的假的啊🤔