森环森保所揭示宝天曼不同林龄锐齿栎林水分利用机制
文章导读
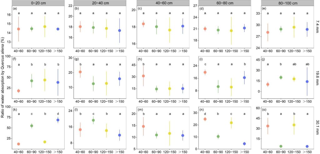
你以为森林里的老树只是长得高大、根系更深?面对降水变化,它们和年轻树林的“喝水”策略可能截然不同。研究显示,小雨后不同林龄的锐齿栎林用水方式没有区别,但一旦雨量达到中雨或大雨,60年以上的“老林子”对表层土壤水的吸收比例会突然飙升,最高可达年轻林(40-60年)的3.5倍以上。这背后的关键驱动因子并非土壤水分本身,而是一个你很可能忽略的、藏在土壤之下的结构性问题。如果气候变化导致降水模式剧变,哪一类森林会率先面临生存危机?答案或许就藏在它们“喝水”的偏好里。
— 内容由好学术AI分析文章内容生成,仅供参考。

图1:不同林龄锐齿栎林水分利用格局差异
图2:结构方程模型检验各变量对锐齿栎水分利用格局的影响
树木水分利用策略是驱动森林生产力的重要影响因子。在全球降水格局变化背景下,不同林龄树木的水分吸收策略可能存在差异。因此,探究不同林龄树木的吸水特征对于预测降水变化背景下森林生长状况至关重要。然而,目前关于不同林龄树木吸水策略对降水变化的响应仍不清楚。
鉴于此,森环森保所稳定同位素生态学科组以宝天曼自然保护区不同林龄锐齿栎林(40−60年、60−90年、120−150年及>150年)为研究对象,运用氢氧稳定同位素耦合贝叶斯混合模型(MixSIAR),分析了不同量级降水后不同林龄锐齿栎林中优势树种的水分利用格局,并进一步通过结构方程模型揭示了锐齿栎水分利用格局的主要调控因素。结果显示:小雨(7.4 mm)后,四种林龄锐齿栎林的水分利用格局无显著差异。但在中雨(19.6 mm)及大雨(30.1 mm)后,60−90年(48.6±3.4%)、120−150年(30.4±6.6%)和>150年(53.6±7.6%)锐齿栎林对表层土壤(0−20 cm)水分的吸收比例显著高于40−60年(15.2±1.5%)锐齿栎林,而对深层土壤(20−100 cm)水分的利用比例和利用格局则呈现相反趋势。结构方程模型的结果进一步表明,根系生物量是调控锐齿栎水分吸收策略的主要驱动因子,土壤含水量和土壤结构间接影响了其水分利用格局。本研究强调了老龄锐齿栎能通过调整吸水策略表现出更强的环境适应能力。
该研究成果以“OlderQuercus alienastands have a more flexible water absorption strategy than younger counterparts”为题,于2026年1月发表在国际学术期刊《Journal of Plant Ecology》(1区)上。已毕业博士生任冉冉为该论文第一作者,徐庆研究员、张蓓蓓副研究员为共同通讯作者。本研究得到中央级公益性科研院所基本科研业务费专项基金项目(CAFYBB2021ZE002;CAFYBB2024MA013;CAFYBB2020SY025)及“十四五”国家重点研发计划项目(2021YFD2200401)的资助。
© 版权声明
本文由分享者转载或发布,内容仅供学习和交流,版权归原文作者所有。如有侵权,请留言联系更正或删除。















发表时间写的是2026年?穿越了?
居然能分得这么细,一百多年的树和几十年的确实不一样。
宝天曼那边风景应该不错吧,搞科研还得爬山挺累的。
标题看着挺唬人,其实就是讲树怎么喝水的。
40到60年的那个数据差异有点大啊,这是刚种下去没多久根系还没扎深?
这图做得有点抽象,看了半天才看懂。
原来根系才是关键啊,还以为是看叶子数量呢。
老树确实比小树精,知道怎么找水喝。