文章导读
你是否以为圆偏振激光下的电子运动总是独立无关联?过去教科书告诉你非序列双电离被完全抑制,可当你盯着实验数据时,低能电子区域的动量偏移却悄悄背叛了这个定论。我们扒开北大团队对氙原子的最新观测,发现那个被所有人忽略的"四瓣结构"动量谱——它不仅证明电子仍在暗中协作,更让非偶极效应在背向出射时暴增30%。这个被激光磁场隐藏的致命细节,正让无数强场实验的结论摇摇欲坠。如果现在你还在用传统模型推演多电子过程,这篇文章可能让你推翻重做整个课题。
— 内容由好学术AI分析文章内容生成,仅供参考。
近日,北京大学物理学院现代光学研究所、人工微结构和介观物理全国重点实验室刘运全教授和龚旗煌院士等人在实验和理论上系统研究了圆偏振强激光驱动下氙原子强场双电离过程中的电子关联问题,揭示了强激光场与多电子原子相互作用的非偶极效应与电子关联耦合动力学,为强激光与物质相互作用中的多体线动量的传递提供了新的认识。2026年2月19日,相关研究成果以《圆偏振激光场中氙原子电子关联动力学的非偶极效应》(“Nondipole Effects on Electron Correlation Dynamics of Xe atoms in Circularly Polarized Laser Fields”)为题,在线发表于《物理评论快报》(Physical Review Letters)。
电子关联效应是强场物理中多电子动力学的核心问题之一。过去的研究中,人们通常认为在圆偏振光场中,非序列双电离被抑制,电子之间近似独立,不存在关联。然而,近年来,随着电子关联动力学研究的深入,这一观点逐渐受到质疑。另外,在理论上,在非微扰的条件下,激光场的磁场分量带来的洛伦兹力使电子沿激光传播方向产生动量偏移,这是非偶极效应的重要特征,在强激光与原子相互作用的单电子过程得到广泛研究。圆偏振光场驱动下强场多电子过程中的非偶极效应相关的研究仍然匮乏,强场双电离的电子关联与非偶极效应之间存在的联系尚待深入探索。
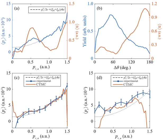
针对多电子过程的电子关联和非偶极效应,课题组采用超高真空冷靶反冲离子动量谱技术(COLTRIMS),在800nm圆偏振激光驱动下,对氙原子双电离产物进行符合测量,实验结果如图1所示。实验发现,二价离子Xe2+在偏振平面内的动量,呈以零动量为中心的二维高斯分布(图1a);两电子特定方向关联动量谱,呈现清晰的“四瓣结构”(图1b);这表明圆偏振光场下的双电离过程存在明显的电子关联效应。更重要的是,研究人员测量了电子沿激光传播方向的平均动量偏移(图1c—d),以表征非偶极效应,发现了低能电子区域平均动量偏移显著的增大。

图1 800nm圆偏振光场驱动下氙原子双电离实验结果。(a)Xe2+离子在偏振平面的动量分布。(b) p z方向两电子关联动量分布。(c)( pr ,py)平面双电离电子动量分布(d)双电离电子沿激光传播方向的平均动量偏移
为解释上述现象,研究人员建立了包含非偶极修正的双电子经典轨迹蒙特卡洛(CTMC)模型。利用该模型,研究人员成功复现了实验中所观察到的现象,并利用经典的电子轨迹分析,进一步揭示了高能光电子主要对应顺序双电离,两个电子倾向于同向出射;而低能光电子产生过程中,再碰撞并未完全抑制,两个电子倾向于背向出射,并发生线动量再分配,增加了低能电子的非偶极动量偏移(图2a—b)。

图2 电子关联效应与非偶极效应之间的潜在联系。(a)平均动量偏移和平均碰撞次数随径向动量的变化。(b)光电子产率和平均碰撞次数随两个电子发射角角度差的变化。模拟和实验得到同向出射(c)和背向出射(d)光电子的平均动量偏移曲线
更进一步,基于非偶极效应对电子再碰撞的高敏感性,研究人员提出了可直接实验验证的电子关联判据:通过动量守恒筛选不同离子动量区间,分别提取同向出射与背向出射电子的平均动量偏移,结果如图2c—d所示。同向出射电子的非偶极偏移与独立电离预期吻合;而背向出射电子整体呈现更大的上移,对应更高的再碰撞概率。这建立了强场双电离中电子关联效应与非偶极效应之间直接联系,并得到了实验验证,为理解强场多体系统中的线动量传递与电子关联提供了新视角。
北京大学物理学院2020级博士窦衍琨和2023级博士研究生李培增为论文共同第一作者,刘运全为该论文的通讯作者。该研究工作得到了国家重点研发计划项目以及国家自然科学基金项目的支持。
© 版权声明
本文由分享者转载或发布,内容仅供学习和交流,版权归原文作者所有。如有侵权,请留言联系更正或删除。












这个四瓣结构能说明电子在背向出射时关联更强吗?
之前做双电离实验也遇到过类似现象,确实不好解释
完全看不懂,但感觉挺厉害的😂
这实验设计挺巧妙的,特别是用偏振光测关联动量