文章导读
蛋白质-多肽相互作用如何破解?华中科技大学黄胜友团队在《自然·机器智能》发表突破性成果!面对多肽高度柔性带来的结构预测难题,团队创新提出GraphPep模型:首次以相互作用为节点构建残基/原子层级的图神经网络,通过残差门控图卷积精准捕捉界面特征。该方法在AlphaFold等测试集上展现行业领先的预测精度与鲁棒性,成功突破传统模型数据不足、泛化能力弱的关键瓶颈,为抗体药物研发开辟全新路径。
— 内容由好学术AI分析文章内容生成,仅供参考。
近日,物理学院生物物理团队黄胜友教授在蛋白质-多肽相互作用预测领域取得重要进展,相关成果发表于《自然·机器智能》(Nature Machine Intelligence),题目为“基于相互作用的蛋白质-多肽复合物打分图学习框架”(An Interaction-Derived Graph Learning Framework for Scoring Protein-Peptide Complexes)。我校为唯一通讯单位,物理学院博士后陶环宇为论文第一作者,博士生王笑宇为共同作者,黄胜友教授为通讯作者。

蛋白质-多肽相互作用约占全部蛋白质间相互作用的40%,在免疫应答、信号传导和基因调控等多种生命活动中发挥关键作用。由于多肽分子具有良好的生物相容性和较高的特异性,它们已成为一类重要的潜在药物分子。解析蛋白质-多肽复合物的三维结构对于理解其理化相互作用机制至关重要,但实验测定过程往往耗时耗力,而多肽的高度柔性又使其结合模式极为复杂,给结构解析与预测带来了巨大挑战。为此,科研人员相继发展了多种基于分子对接与深度学习的计算建模方法,用于预测复合物的空间构象及其结合能量。其中,打分函数在评估候选结构质量、识别最可能的结合构象方面起着决定性作用。然而,现有的打分方法在应对蛋白质-多肽体系时仍存在数据量有限、界面相互作用捕获不充分以及模型泛化能力不足等问题。

图1.GraphPep蛋白质-多肽相互作用预测的图神经网络模型框架
针对上述难题,黄胜友课题组提出了一种基于相互作用驱动的图神经网络模型GraphPep。不同于传统以原子或残基为节点的图表示方式,GraphPep首次以蛋白质-多肽界面相互作用作为节点,在残基与原子两个层级分别构建相互作用图,并在共享同一残基或原子的节点之间建立边连接,从而在更高层次上捕捉界面相互作用特征。这一“基于相互作用的图表示”显著增强了模型对复合物界面的结构理解能力。在模型架构上,GraphPep通过残差门控图卷积网络(Residual Gated Graph Convolutional Networks)实现节点特征的高效传播与聚合;在训练策略上,模型以蛋白质-多肽残基间接触信息作为预测目标,而非仅依赖单一的配体RMSD指标,从而有效缓解了训练数据不足的问题,并且提升了模型对相互作用的显式学习。此外,研究团队融合了蛋白质语言模型 ESM-2生成的嵌入,进一步提升了模型的特征表达能力与泛化性能。
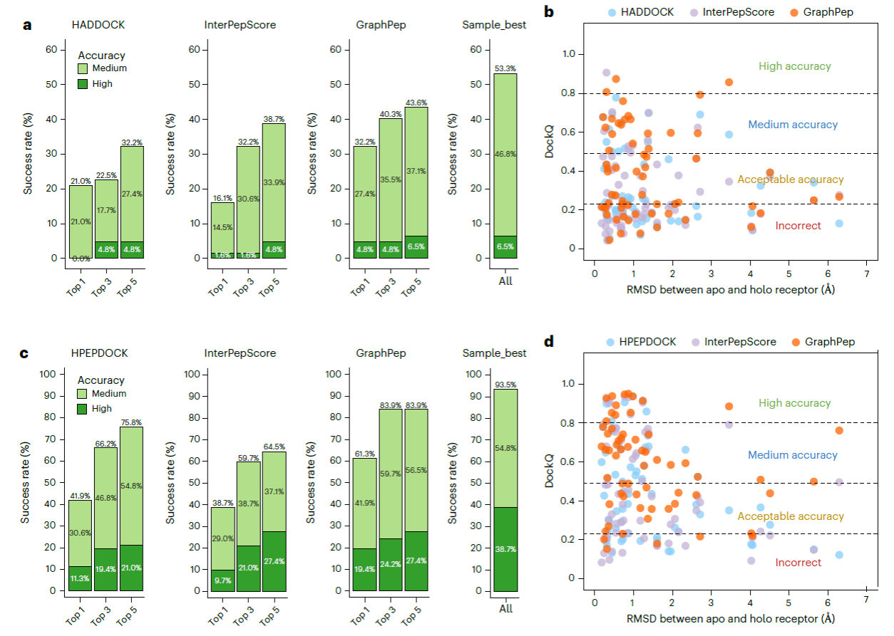
系统评估结果表明,GraphPep在由多种蛋白-多肽对接程序及AlphaFold生成的复合物测试集上均表现优异,在预测精度和鲁棒性方面显著优于现有先进方法。同时,在由AlphaFold3通过加强采样(forced sampling)生成的抗体-多肽复合物测试集中,GraphPep同样表现出强大的预测能力,表明该方法在不同类型蛋白质-多肽体系中均具有广泛的应用潜力与出色的泛化能力。

图2.我们的GraphPep方法跟现有模型相比展示出行业领先水平
黄胜友课题组长期致力于生物大分子的结构及其相互作用计算与预测研究,近年来聚焦AIfor Science,在蛋白质-蛋白质、蛋白质-多肽、蛋白质-小分子、蛋白质-核酸相互作用及其复合物结构预测方面取得诸多重要进展,发展和开发了一系列方法、软件和计算平台,在NatureBiotechnology、Nature Machine Intelligence、Nature Communications等国际著名期刊发表多篇论文。
© 版权声明
本文由分享者转载或发布,内容仅供学习和交流,版权归原文作者所有。如有侵权,请留言联系更正或删除。
相关文章
暂无评论...
















