文章导读
你是否以为近藤效应只存在于完美的封闭量子系统中,一旦引入环境耗散,物理规律就会彻底崩塌?南京大学王锐、王伯根课题组却用一组反直觉的数据打破了这个认知:在耗散诱导的非厄米世界里,杂质熵竟能突破自由极限,电导行为更会出现传统理论无法解释的“反常幂律增长”。这并非简单的参数修正,而是非厄米性与量子关联共同演生出的全新物态。当所有教科书都在强调耗散是干扰时,他们如何证明耗散反而成了创造新物理的关键?那个让电导在低温下不降反升的隐藏机制,或许正藏着未来量子器件的终极答案。
— 内容由好学术AI分析文章内容生成,仅供参考。
近日,南京大学物理学院王锐教授、王伯根教授课题组在耗散系统近藤物理的研究中取得重要进展。研究团队首次提出耗散系统非厄米性诱导的反常近藤行为,通过解析和数值相结合方法,不仅获得了非厄米多通道近藤模型的相图及不动点,同时预言了非厄米与量子关联效应共同演生的新奇输运行为。
近藤效应是最具代表性的强关联问题之一,对它的研究不仅推动了重整化群、边界共形场论等理论方法的发展,也极大促进了凝聚态物理研究的进步。近年来,耗散系统中的近藤问题引起了广泛关注,这是因为耗散效应导致的非厄米性能够带来在封闭系统中完全不存在的新奇演生现象。然而,如何准确刻画耗散近藤问题的动力学、热力学及输运性质,仍存在巨大的挑战。

图1.实现非厄米多通道近藤模型的平台示意图。(a)拓扑超导马约拉纳零能模和金属电极之间通过耗散量子点进行隧穿,实现等效的非厄米近藤相互作用。(b)(c)耗散量子点隧道节及“后选择”装置示意图。
针对这些问题,王锐、王伯根教授课题组提出了一种实现非厄米多通道近藤问题的拓扑超导-耗散量子点隧道结模型(如图1所示)。该隧道结模型不仅能保证严格的通道对称性,还可调控系统的PT对称性。首先,理论微扰重整化群计算表明,在强、弱非厄米区间内各存在一个重整化群流不动点,预示着系统将出现与传统近藤问题类似的弱耦合及强耦合相。其次,通过Bethe ansatz严格解发现,在非厄米程度适中时,体系自发产生了一种奇异的屏蔽效应。与传统近藤屏蔽不同,该效应中杂质自旋被单个束缚态所屏蔽,类似于超导中的Yu-Shiba-Rusinov(YSR)态,揭示了非厄米效应在近藤问题中诱导出新的多体演生现象。为验证上述解析结果,他们进一步采用非厄米数值重整化群方法计算了杂质的热力学量。数值结果表明,杂质熵在有限温区间表现出反常的非单调行为,且其数值大小超过了自由杂质熵(ln2),与Bethe ansatz严格解所预言的YSR态的性质一致。

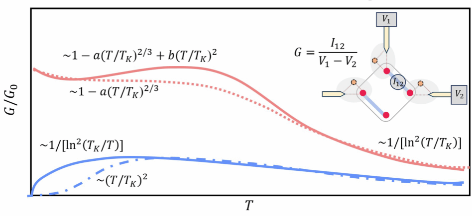
图2. 非厄米4通道近藤模型的电导-温度曲线。红色和蓝色实线分别为强和弱耦合区的近藤电导。虚线展示了封闭系统中的典型近藤电导行为。相较之下,非厄米性在有限温区间内产生了反常的幂律增长行为。
为了充分理解强、弱耦合相的物理特性,该工作进一步构建了计算非厄米近藤电导的一般方法。在弱耦合相中,非厄米线性响应理论可有效计算电导行为,得到低温电导满足 ~1/[ln²(TK/T)] 的形式(图 2),与传统近藤系统的电导有显著区别,表明非厄米效应带来了反常的“退耦合”性质。而对于强耦合相,可以解析证明对于 PT 对称的近藤体系,其不动点与低能激发仍可采用边界共形场论准确描述。在不动点附近,非厄米项将引入额外的“边界算符”(boundary operator),从而有效改变多通道近藤系统在有限温下的热力学性质,与数值重整化群的计算结果一致。特别地,受非厄米性影响,体系的电导在有限温区间会出现与传统的近藤物理截然不同的反常幂律增长行为(图 2),揭示出由非厄米与量子关联效应共同驱动的普适反常输运行为。
该工作提出了实现非厄米多通道近藤模型的具体物理平台,清晰揭示了非厄米在近藤系统中所诱导的新奇物态,预言了非厄米与非费米液体行为相互影响所产生的普适反常电导行为,为开放系统中演生多体现象的研究提供了典型范例。
研究成果以“Non-Hermiticity Induced Universal Anomalies in Kondo Conductance”为题目,发表于《物理评论快报》 (Physical Review Letters, 136, 116502, 2026)。南京大学为第一作者和第一通讯单位,南京大学博士研究生易伟柱、陈昀为论文共同第一作者,王锐教授和王伯根教授为论文通讯作者。该工作得到了国家重点研发计划、合肥国家实验室科技创新2030重大项目、国家自然科学基金、江苏省自然科学基金前沿技术计划的资助。同时这项工作得到了南京大学物理学院、固体微结构物理全国重点实验室、人工微结构科学与技术协同创新中心、江苏省物理科学研究中心和合肥国家实验室的支持。
原文链接:https://journals.aps.org/prl/abstract/10.1103/84n3-tgxj
© 版权声明
本文由分享者转载或发布,内容仅供学习和交流,版权归原文作者所有。如有侵权,请留言联系更正或删除。

















非厄米还能搞出YSR态?有点意思🤔
这玩意儿太硬核了,看完脑壳疼😂